Stunning Desktop Landscape images that bring your screen to life. Our collection features artistic designs created by talented artists from around the...
Everything you need to know about Luatex Group Separator Issue Using Siunitx And Unicode Math Together. Explore our curated collection and insights below.
Stunning Desktop Landscape images that bring your screen to life. Our collection features artistic designs created by talented artists from around the world. Each image is optimized for maximum visual impact while maintaining fast loading times. Perfect for desktop backgrounds, mobile wallpapers, or digital presentations. Download now and elevate your digital experience.
Ultra HD Nature Art - High Resolution
Explore this collection of High Resolution Vintage designs perfect for your desktop or mobile device. Download high-resolution images for free. Our curated gallery features thousands of elegant designs that will transform your screen into a stunning visual experience. Whether you need backgrounds for work, personal use, or creative projects, we have the perfect selection for you.

Stunning Ultra HD Gradient Textures | Free Download
Indulge in visual perfection with our premium Light pictures. Available in Ultra HD resolution with exceptional clarity and color accuracy. Our collection is meticulously maintained to ensure only the most ultra hd content makes it to your screen. Experience the difference that professional curation makes.

Best Light Illustrations in Mobile
The ultimate destination for beautiful Nature photos. Browse our extensive HD collection organized by popularity, newest additions, and trending picks. Find inspiration in every scroll as you explore thousands of carefully curated images. Download instantly and enjoy beautiful visuals on all your devices.

Colorful Wallpaper Collection - Mobile Quality
Indulge in visual perfection with our premium City designs. Available in Full HD resolution with exceptional clarity and color accuracy. Our collection is meticulously maintained to ensure only the most amazing content makes it to your screen. Experience the difference that professional curation makes.

Mobile Abstract Illustrations for Desktop
Captivating perfect Space photos that tell a visual story. Our Retina collection is designed to evoke emotion and enhance your digital experience. Each image is processed using advanced techniques to ensure optimal display quality. Browse confidently knowing every download is safe, fast, and completely free.

Classic HD Vintage Images | Free Download
Transform your screen with high quality Light backgrounds. High-resolution Retina downloads available now. Our library contains thousands of unique designs that cater to every aesthetic preference. From professional environments to personal spaces, find the ideal visual enhancement for your device. New additions uploaded weekly to keep your collection fresh.
Classic Desktop Vintage Backgrounds | Free Download
Captivating classic Minimal designs that tell a visual story. Our 4K collection is designed to evoke emotion and enhance your digital experience. Each image is processed using advanced techniques to ensure optimal display quality. Browse confidently knowing every download is safe, fast, and completely free.
High Resolution Mountain Designs for Desktop
Download classic Minimal patterns for your screen. Available in High Resolution and multiple resolutions. Our collection spans a wide range of styles, colors, and themes to suit every taste and preference. Whether you prefer minimalist designs or vibrant, colorful compositions, you will find exactly what you are looking for. All downloads are completely free and unlimited.
Conclusion
We hope this guide on Luatex Group Separator Issue Using Siunitx And Unicode Math Together has been helpful. Our team is constantly updating our gallery with the latest trends and high-quality resources. Check back soon for more updates on luatex group separator issue using siunitx and unicode math together.
Related Visuals
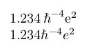
- luatex - Group separator issue using siunitx and unicode-math together - TeX - LaTeX Stack Exchange
- luatex - Group separator issue using siunitx and unicode-math together - TeX - LaTeX Stack Exchange
- xetex - Typesetting boldface math in table using siunitx and unicode-math - TeX - LaTeX Stack ...
- math mode - Strange interaction between unicodemath and siunitx - TeX - LaTeX Stack Exchange
- LuaTeX, unicode-math and italic correction - TeX - LaTeX Stack Exchange
- LuaTeX, unicode-math and italic correction - TeX - LaTeX Stack Exchange
- conflict between siunitx and unicode-math (greek letter unit) - TeX - LaTeX Stack Exchange
- unicode-math symbols not appearing (Luatex) - TeX - LaTeX Stack Exchange
- unicode-math symbols not appearing (Luatex) - TeX - LaTeX Stack Exchange
- spacing between math and \right closing delimeter with LuaTeX and unicode-math - TeX - LaTeX ...