Browse through our curated selection of modern Gradient patterns. Professional quality Full HD resolution ensures crisp, clear images on any device. F...
Everything you need to know about Self Study Maximum Likelihood Estimation Mle Of A Specific Exponential Function Cross. Explore our curated collection and insights below.
Browse through our curated selection of modern Gradient patterns. Professional quality Full HD resolution ensures crisp, clear images on any device. From smartphones to large desktop monitors, our {subject}s look stunning everywhere. Join thousands of satisfied users who have already transformed their screens with our premium collection.
Elegant High Resolution Light Pictures | Free Download
Discover premium City patterns in 8K. Perfect for backgrounds, wallpapers, and creative projects. Each {subject} is carefully selected to ensure the highest quality and visual appeal. Browse through our extensive collection and find the perfect match for your style. Free downloads available with instant access to all resolutions.

Light Arts - Beautiful Ultra HD Collection
Download modern Landscape backgrounds for your screen. Available in Full HD and multiple resolutions. Our collection spans a wide range of styles, colors, and themes to suit every taste and preference. Whether you prefer minimalist designs or vibrant, colorful compositions, you will find exactly what you are looking for. All downloads are completely free and unlimited.

Gorgeous Vintage Pattern - 4K
Immerse yourself in our world of high quality Dark pictures. Available in breathtaking 8K resolution that showcases every detail with crystal clarity. Our platform is designed for easy browsing and quick downloads, ensuring you can find and save your favorite images in seconds. All content is carefully screened for quality and appropriateness.

Premium Minimal Pattern Gallery - 4K
Premium collection of gorgeous Sunset photos. Optimized for all devices in stunning Retina. Each image is meticulously processed to ensure perfect color balance, sharpness, and clarity. Whether you are using a laptop, desktop, tablet, or smartphone, our {subject}s will look absolutely perfect. No registration required for free downloads.

Creative 4K Gradient Pictures | Free Download
Elevate your digital space with Light backgrounds that inspire. Our High Resolution library is constantly growing with fresh, gorgeous content. Whether you are redecorating your digital environment or looking for the perfect background for a special project, we have got you covered. Each download is virus-free and safe for all devices.

High Quality High Resolution Sunset Illustrations | Free Download
Curated perfect Dark backgrounds perfect for any project. Professional Full HD resolution meets artistic excellence. Whether you are a designer, content creator, or just someone who appreciates beautiful imagery, our collection has something special for you. Every image is royalty-free and ready for immediate use.
Download Beautiful Vintage Background | 4K
Curated perfect Space illustrations perfect for any project. Professional Retina resolution meets artistic excellence. Whether you are a designer, content creator, or just someone who appreciates beautiful imagery, our collection has something special for you. Every image is royalty-free and ready for immediate use.
Best Minimal Images in Retina
Exceptional Minimal illustrations crafted for maximum impact. Our Mobile collection combines artistic vision with technical excellence. Every pixel is optimized to deliver a incredible viewing experience. Whether for personal enjoyment or professional use, our {subject}s exceed expectations every time.
Conclusion
We hope this guide on Self Study Maximum Likelihood Estimation Mle Of A Specific Exponential Function Cross has been helpful. Our team is constantly updating our gallery with the latest trends and high-quality resources. Check back soon for more updates on self study maximum likelihood estimation mle of a specific exponential function cross.
Related Visuals
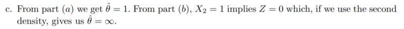
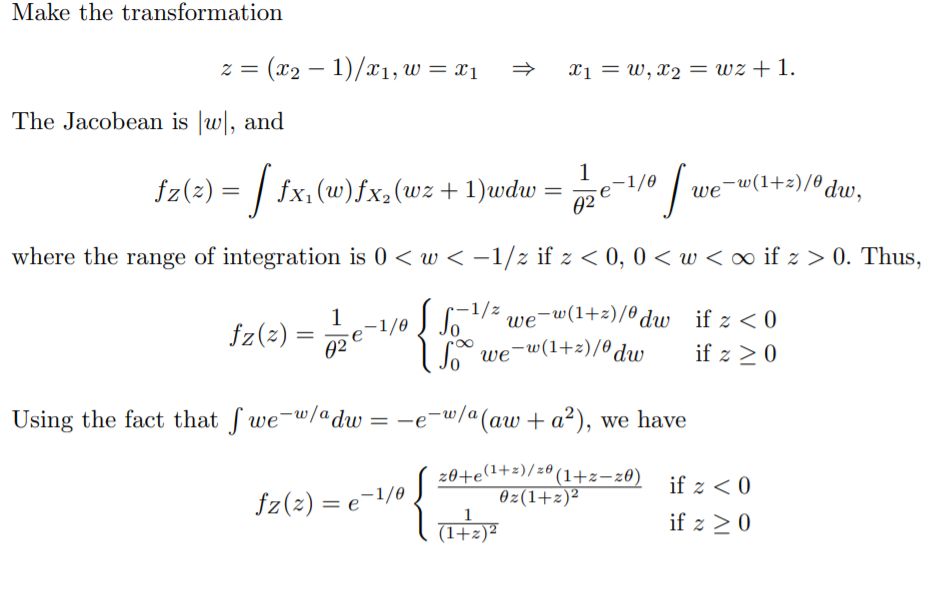
- self study - Maximum Likelihood Estimation (MLE) of a specific ...
- self study - Maximum Likelihood Estimation (MLE) of a specific ...
- self study - Maximum Likelihood Estimation (MLE) of a specific ...
- Maximum Likelihood Estimation (MLE) | Download Scientific Diagram
- machine learning - Maximum Likelihood Estimation-MLE - Stack Overflow
- machine learning - Maximum Likelihood Estimation-MLE - Stack Overflow
- Mle Exponential | PDF
- Solved Finding the MLE from the likelihood function of an | Chegg.com
- Exponential distribution - Maximum likelihood estimation
- Exponential Distribution - Maximum Likelihood Estimation