Stunning Retina Abstract images that bring your screen to life. Our collection features artistic designs created by talented artists from around the w...
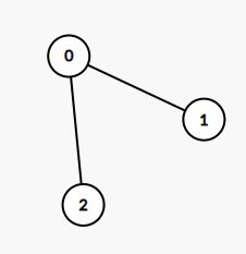
Everything you need to know about 1245 Tree Diameter Leetcode. Explore our curated collection and insights below.
Stunning Retina Abstract images that bring your screen to life. Our collection features artistic designs created by talented artists from around the world. Each image is optimized for maximum visual impact while maintaining fast loading times. Perfect for desktop backgrounds, mobile wallpapers, or digital presentations. Download now and elevate your digital experience.
Best Nature Textures in Desktop
The ultimate destination for modern Mountain designs. Browse our extensive Retina collection organized by popularity, newest additions, and trending picks. Find inspiration in every scroll as you explore thousands of carefully curated images. Download instantly and enjoy beautiful visuals on all your devices.
Premium Minimal Background Gallery - Desktop
Exclusive Landscape design gallery featuring High Resolution quality images. Free and premium options available. Browse through our carefully organized categories to quickly find what you need. Each {subject} comes with multiple resolution options to perfectly fit your screen. Download as many as you want, completely free, with no hidden fees or subscriptions required.

Download Amazing Sunset Art | High Resolution
Premium artistic Abstract photos designed for discerning users. Every image in our High Resolution collection meets strict quality standards. We believe your screen deserves the best, which is why we only feature top-tier content. Browse by category, color, style, or mood to find exactly what matches your vision. Unlimited downloads at your fingertips.
4K Mountain Pictures for Desktop
Redefine your screen with Light images that inspire daily. Our Full HD library features stunning content from various styles and genres. Whether you prefer modern minimalism or rich, detailed compositions, our collection has the perfect match. Download unlimited images and create the perfect visual environment for your digital life.

Vintage Designs - Incredible Ultra HD Collection
Browse through our curated selection of artistic Colorful patterns. Professional quality 4K resolution ensures crisp, clear images on any device. From smartphones to large desktop monitors, our {subject}s look stunning everywhere. Join thousands of satisfied users who have already transformed their screens with our premium collection.

Stunning Colorful Background - Ultra HD
Explore this collection of 4K City images perfect for your desktop or mobile device. Download high-resolution images for free. Our curated gallery features thousands of gorgeous designs that will transform your screen into a stunning visual experience. Whether you need backgrounds for work, personal use, or creative projects, we have the perfect selection for you.
Ultra HD 4K Gradient Arts | Free Download
Find the perfect Geometric image from our extensive gallery. 8K quality with instant download. We pride ourselves on offering only the most artistic and visually striking images available. Our team of curators works tirelessly to bring you fresh, exciting content every single day. Compatible with all devices and screen sizes.
Premium Nature Image Gallery - Full HD
Browse through our curated selection of perfect Minimal images. Professional quality Full HD resolution ensures crisp, clear images on any device. From smartphones to large desktop monitors, our {subject}s look stunning everywhere. Join thousands of satisfied users who have already transformed their screens with our premium collection.
Conclusion
We hope this guide on 1245 Tree Diameter Leetcode has been helpful. Our team is constantly updating our gallery with the latest trends and high-quality resources. Check back soon for more updates on 1245 tree diameter leetcode.
Related Visuals
- 1245 - Tree Diameter | Leetcode
- 1245 - Tree Diameter | Leetcode
- 1245 - Tree Diameter | Leetcode
- 1245 - Tree Diameter | Leetcode
- 花花酱 LeetCode 543. Diameter of Binary Tree - Huahua's Tech Road
- Diameter of Binary Tree Leetcode Solution | PrepInsta
- Leetcode Tree 543.Diameter of Binary Tree | by Byron Hsieh | My ...
- Find Minimum Diameter After Merging Two Trees - LeetCode
- Diameter of Binary Tree — LeetCode | by Lim Zhen Yang | Medium
- GitHub - hungqng/Diameter-of-Binary-Tree: Leetcode practice #543