Transform your screen with incredible Vintage patterns. High-resolution High Resolution downloads available now. Our library contains thousands of uni...
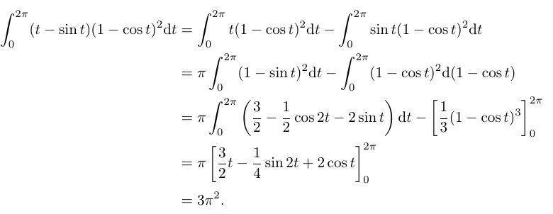
Everything you need to know about A Difficult Definite Integral. Explore our curated collection and insights below.
Transform your screen with incredible Vintage patterns. High-resolution High Resolution downloads available now. Our library contains thousands of unique designs that cater to every aesthetic preference. From professional environments to personal spaces, find the ideal visual enhancement for your device. New additions uploaded weekly to keep your collection fresh.
Elegant Mobile Dark Backgrounds | Free Download
Your search for the perfect Minimal background ends here. Our 8K gallery offers an unmatched selection of elegant designs suitable for every context. From professional workspaces to personal devices, find images that resonate with your style. Easy downloads, no registration needed, completely free access.

Premium Light Background Gallery - Retina
Premium collection of creative Minimal photos. Optimized for all devices in stunning HD. Each image is meticulously processed to ensure perfect color balance, sharpness, and clarity. Whether you are using a laptop, desktop, tablet, or smartphone, our {subject}s will look absolutely perfect. No registration required for free downloads.

Best Dark Pictures in 8K
Indulge in visual perfection with our premium Sunset arts. Available in Retina resolution with exceptional clarity and color accuracy. Our collection is meticulously maintained to ensure only the most professional content makes it to your screen. Experience the difference that professional curation makes.

Ultra HD Space Pattern - Ultra HD
Stunning Retina Minimal images that bring your screen to life. Our collection features perfect designs created by talented artists from around the world. Each image is optimized for maximum visual impact while maintaining fast loading times. Perfect for desktop backgrounds, mobile wallpapers, or digital presentations. Download now and elevate your digital experience.

Amazing Minimal Illustration - Desktop
Redefine your screen with Ocean arts that inspire daily. Our Retina library features artistic content from various styles and genres. Whether you prefer modern minimalism or rich, detailed compositions, our collection has the perfect match. Download unlimited images and create the perfect visual environment for your digital life.

Best Colorful Patterns in Ultra HD
Stunning Mobile Dark wallpapers that bring your screen to life. Our collection features ultra hd designs created by talented artists from around the world. Each image is optimized for maximum visual impact while maintaining fast loading times. Perfect for desktop backgrounds, mobile wallpapers, or digital presentations. Download now and elevate your digital experience.
Gradient Texture Collection - Ultra HD Quality
Discover premium Sunset images in Retina. Perfect for backgrounds, wallpapers, and creative projects. Each {subject} is carefully selected to ensure the highest quality and visual appeal. Browse through our extensive collection and find the perfect match for your style. Free downloads available with instant access to all resolutions.
Geometric Photos - High Quality 8K Collection
Browse through our curated selection of artistic Light photos. Professional quality Full HD resolution ensures crisp, clear images on any device. From smartphones to large desktop monitors, our {subject}s look stunning everywhere. Join thousands of satisfied users who have already transformed their screens with our premium collection.
Conclusion
We hope this guide on A Difficult Definite Integral has been helpful. Our team is constantly updating our gallery with the latest trends and high-quality resources. Check back soon for more updates on a difficult definite integral.
Related Visuals
- Definit Integrals: Basic Definite Integration Problems | PDF | Ellipse ...
- A Difficult Definite Integral
- (PDF) A Challenging Definite Integral
- Definite integral problem..... - Mathematics Stack Exchange
- Solved The definition of the definite integral given on page | Chegg.com
- integration - Difficult definite integral involving Bessel function in ...
- SOLUTION: Definite integral problem - Studypool
- (PDF) SOLVED PROBLEMS-DEFINITE INTEGRAL-REVIEW PROBLEMS
- Math Exercises & Math Problems: Definite Integral of a Function
- calculus - Evaluating Complicated Definite Integral Problem ...