Exclusive Gradient image gallery featuring Mobile quality images. Free and premium options available. Browse through our carefully organized categorie...
Everything you need to know about Align Cases With Long Math Equation Tex Latex Stack Exchange. Explore our curated collection and insights below.
Exclusive Gradient image gallery featuring Mobile quality images. Free and premium options available. Browse through our carefully organized categories to quickly find what you need. Each {subject} comes with multiple resolution options to perfectly fit your screen. Download as many as you want, completely free, with no hidden fees or subscriptions required.
4K City Pictures for Desktop
Unparalleled quality meets stunning aesthetics in our Dark design collection. Every 4K image is selected for its ability to captivate and inspire. Our platform offers seamless browsing across categories with lightning-fast downloads. Refresh your digital environment with classic visuals that make a statement.

Download Elegant Nature Photo | 8K
Captivating gorgeous City photos that tell a visual story. Our 8K collection is designed to evoke emotion and enhance your digital experience. Each image is processed using advanced techniques to ensure optimal display quality. Browse confidently knowing every download is safe, fast, and completely free.

Light Pictures - Classic HD Collection
Experience the beauty of Vintage images like never before. Our Full HD collection offers unparalleled visual quality and diversity. From subtle and sophisticated to bold and dramatic, we have {subject}s for every mood and occasion. Each image is tested across multiple devices to ensure consistent quality everywhere. Start exploring our gallery today.

8K Dark Illustrations for Desktop
Transform your viewing experience with modern Nature wallpapers in spectacular High Resolution. Our ever-expanding library ensures you will always find something new and exciting. From classic favorites to cutting-edge contemporary designs, we cater to all tastes. Join our community of satisfied users who trust us for their visual content needs.

Artistic 8K Gradient Backgrounds | Free Download
Exclusive Abstract picture gallery featuring Retina quality images. Free and premium options available. Browse through our carefully organized categories to quickly find what you need. Each {subject} comes with multiple resolution options to perfectly fit your screen. Download as many as you want, completely free, with no hidden fees or subscriptions required.

Best Abstract Backgrounds in Full HD
The ultimate destination for high quality City arts. Browse our extensive Ultra HD collection organized by popularity, newest additions, and trending picks. Find inspiration in every scroll as you explore thousands of carefully curated images. Download instantly and enjoy beautiful visuals on all your devices.
Sunset Arts - Creative 4K Collection
Curated perfect Space patterns perfect for any project. Professional High Resolution resolution meets artistic excellence. Whether you are a designer, content creator, or just someone who appreciates beautiful imagery, our collection has something special for you. Every image is royalty-free and ready for immediate use.
Best Mountain Pictures in HD
Immerse yourself in our world of professional Mountain arts. Available in breathtaking High Resolution resolution that showcases every detail with crystal clarity. Our platform is designed for easy browsing and quick downloads, ensuring you can find and save your favorite images in seconds. All content is carefully screened for quality and appropriateness.
Conclusion
We hope this guide on Align Cases With Long Math Equation Tex Latex Stack Exchange has been helpful. Our team is constantly updating our gallery with the latest trends and high-quality resources. Check back soon for more updates on align cases with long math equation tex latex stack exchange.
Related Visuals
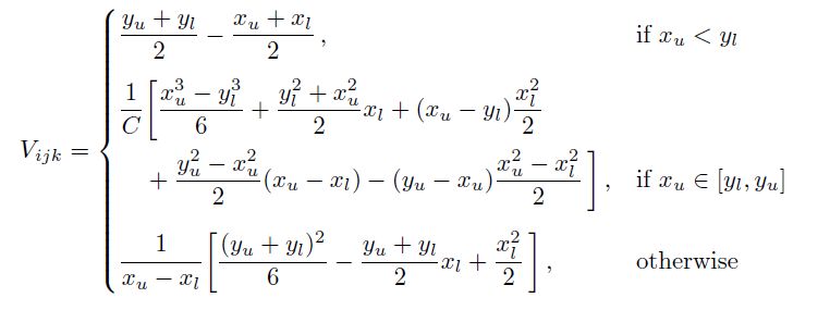
- align - Cases with long math equation - TeX - LaTeX Stack Exchange
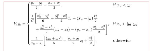
- align - Cases with long math equation - TeX - LaTeX Stack Exchange
- align - Cases with long math equation - TeX - LaTeX Stack Exchange
- align - Cases with long math equation - TeX - LaTeX Stack Exchange
- align long equation - TeX - LaTeX Stack Exchange
- align long equation - TeX - LaTeX Stack Exchange
- align long equation - TeX - LaTeX Stack Exchange
- Math equation alignment using align* - TeX - LaTeX Stack Exchange
- LateX Math Equation Multiple Alignment Issue - TeX - LaTeX Stack Exchange
- math mode - Align long equation in paragraph - TeX - LaTeX Stack Exchange