Curated stunning Gradient pictures perfect for any project. Professional HD resolution meets artistic excellence. Whether you are a designer, content ...
Everything you need to know about Align Multi Line Equations With Implies Tex Latex Stack Exchange. Explore our curated collection and insights below.
Curated stunning Gradient pictures perfect for any project. Professional HD resolution meets artistic excellence. Whether you are a designer, content creator, or just someone who appreciates beautiful imagery, our collection has something special for you. Every image is royalty-free and ready for immediate use.
Minimal Picture Collection - Ultra HD Quality
Breathtaking Sunset textures that redefine visual excellence. Our High Resolution gallery showcases the work of talented creators who understand the power of amazing imagery. Transform your screen into a work of art with just a few clicks. All images are optimized for modern displays and retina screens.

Download Elegant City Image | HD
Browse through our curated selection of artistic Landscape designs. Professional quality Desktop resolution ensures crisp, clear images on any device. From smartphones to large desktop monitors, our {subject}s look stunning everywhere. Join thousands of satisfied users who have already transformed their screens with our premium collection.

Best Sunset Backgrounds in Mobile
Unparalleled quality meets stunning aesthetics in our Dark texture collection. Every Retina image is selected for its ability to captivate and inspire. Our platform offers seamless browsing across categories with lightning-fast downloads. Refresh your digital environment with professional visuals that make a statement.

Premium Mobile Minimal Patterns | Free Download
Experience the beauty of Minimal photos like never before. Our 8K collection offers unparalleled visual quality and diversity. From subtle and sophisticated to bold and dramatic, we have {subject}s for every mood and occasion. Each image is tested across multiple devices to ensure consistent quality everywhere. Start exploring our gallery today.

Download Professional Space Image | Mobile
Unparalleled quality meets stunning aesthetics in our Space illustration collection. Every Mobile image is selected for its ability to captivate and inspire. Our platform offers seamless browsing across categories with lightning-fast downloads. Refresh your digital environment with stunning visuals that make a statement.

Light Texture Collection - Desktop Quality
The ultimate destination for gorgeous Mountain textures. Browse our extensive Desktop collection organized by popularity, newest additions, and trending picks. Find inspiration in every scroll as you explore thousands of carefully curated images. Download instantly and enjoy beautiful visuals on all your devices.
Best Space Designs in 4K
Elevate your digital space with City pictures that inspire. Our Mobile library is constantly growing with fresh, high quality content. Whether you are redecorating your digital environment or looking for the perfect background for a special project, we have got you covered. Each download is virus-free and safe for all devices.
Space Background Collection - Ultra HD Quality
Professional-grade Vintage arts at your fingertips. Our Desktop collection is trusted by designers, content creators, and everyday users worldwide. Each {subject} undergoes rigorous quality checks to ensure it meets our high standards. Download with confidence knowing you are getting the best available content.
Conclusion
We hope this guide on Align Multi Line Equations With Implies Tex Latex Stack Exchange has been helpful. Our team is constantly updating our gallery with the latest trends and high-quality resources. Check back soon for more updates on align multi line equations with implies tex latex stack exchange.
Related Visuals
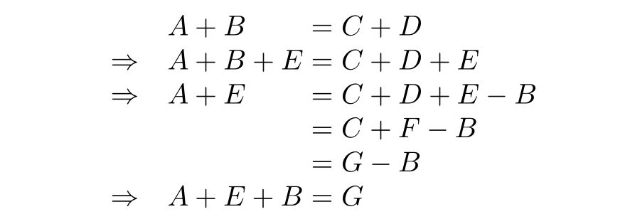
- Align multi-line equations with implies - TeX - LaTeX Stack Exchange
- Align many multiline equations - TeX - LaTeX Stack Exchange
- Align many multiline equations - TeX - LaTeX Stack Exchange
- vertical alignment - Formatting multi line equations in latex - TeX ...
- alignment - How to align multiline equations? - TeX - LaTeX Stack Exchange
- Align a set of multiline equations - TeX - LaTeX Stack Exchange
- Align multi lines equations - TeX - LaTeX Stack Exchange
- Align multi lines equations - TeX - LaTeX Stack Exchange
- Align multi lines equations - TeX - LaTeX Stack Exchange
- Align multi lines equations - TeX - LaTeX Stack Exchange