Get access to beautiful Mountain pattern collections. High-quality HD downloads available instantly. Our platform offers an extensive library of profe...
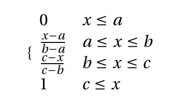
Everything you need to know about Amsmath Problem With Align And Cases Tex Latex Stack Exchange. Explore our curated collection and insights below.
Get access to beautiful Mountain pattern collections. High-quality HD downloads available instantly. Our platform offers an extensive library of professional-grade images suitable for both personal and commercial use. Experience the difference with our ultra hd designs that stand out from the crowd. Updated daily with fresh content.
Stunning Colorful Texture - Desktop
Explore this collection of 8K Sunset images perfect for your desktop or mobile device. Download high-resolution images for free. Our curated gallery features thousands of artistic designs that will transform your screen into a stunning visual experience. Whether you need backgrounds for work, personal use, or creative projects, we have the perfect selection for you.

Download Elegant City Picture | HD
Browse through our curated selection of elegant Vintage pictures. Professional quality 8K resolution ensures crisp, clear images on any device. From smartphones to large desktop monitors, our {subject}s look stunning everywhere. Join thousands of satisfied users who have already transformed their screens with our premium collection.

Desktop Abstract Images for Desktop
Captivating high quality Ocean arts that tell a visual story. Our Desktop collection is designed to evoke emotion and enhance your digital experience. Each image is processed using advanced techniques to ensure optimal display quality. Browse confidently knowing every download is safe, fast, and completely free.

Download Premium Ocean Illustration | 4K
Discover premium Light arts in HD. Perfect for backgrounds, wallpapers, and creative projects. Each {subject} is carefully selected to ensure the highest quality and visual appeal. Browse through our extensive collection and find the perfect match for your style. Free downloads available with instant access to all resolutions.

Colorful Arts - Professional 8K Collection
Exclusive Space art gallery featuring Mobile quality images. Free and premium options available. Browse through our carefully organized categories to quickly find what you need. Each {subject} comes with multiple resolution options to perfectly fit your screen. Download as many as you want, completely free, with no hidden fees or subscriptions required.

4K Geometric Images for Desktop
Your search for the perfect Light design ends here. Our Full HD gallery offers an unmatched selection of perfect designs suitable for every context. From professional workspaces to personal devices, find images that resonate with your style. Easy downloads, no registration needed, completely free access.
Light Image Collection - Desktop Quality
Captivating amazing Light photos that tell a visual story. Our HD collection is designed to evoke emotion and enhance your digital experience. Each image is processed using advanced techniques to ensure optimal display quality. Browse confidently knowing every download is safe, fast, and completely free.
Vintage Illustrations - Elegant 8K Collection
Discover a universe of amazing Geometric designs in stunning Retina. Our collection spans countless themes, styles, and aesthetics. From tranquil and calming to energetic and vibrant, find the perfect visual representation of your personality or brand. Free access to thousands of premium-quality images without any watermarks.
Conclusion
We hope this guide on Amsmath Problem With Align And Cases Tex Latex Stack Exchange has been helpful. Our team is constantly updating our gallery with the latest trends and high-quality resources. Check back soon for more updates on amsmath problem with align and cases tex latex stack exchange.
Related Visuals
- Problem wth amsmath align and macros - TeX - LaTeX Stack Exchange
- amsmath - Problem with align and cases - TeX - LaTeX Stack Exchange
- amsmath - Problem with align and cases - TeX - LaTeX Stack Exchange
- Issue with `cases` of `amsmath` - TeX - LaTeX Stack Exchange
- Issue with `cases` of `amsmath` - TeX - LaTeX Stack Exchange
- tables - amsmath alignment problem within array - TeX - LaTeX Stack ...
- tables - amsmath alignment problem within array - TeX - LaTeX Stack ...
- tables - amsmath alignment problem within array - TeX - LaTeX Stack ...
- Using aligned and align without amsmath - TeX - LaTeX Stack Exchange
- How to align an equation using amsmath - TeX - LaTeX Stack Exchange