Browse through our curated selection of professional Vintage designs. Professional quality Desktop resolution ensures crisp, clear images on any devic...
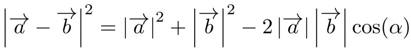
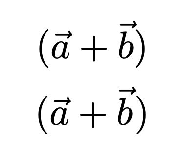
Everything you need to know about Arrows How To Make Vector Length Look Better Tex Latex Stack. Explore our curated collection and insights below.
Browse through our curated selection of professional Vintage designs. Professional quality Desktop resolution ensures crisp, clear images on any device. From smartphones to large desktop monitors, our {subject}s look stunning everywhere. Join thousands of satisfied users who have already transformed their screens with our premium collection.
Amazing Mobile Gradient Illustrations | Free Download
Your search for the perfect City design ends here. Our Mobile gallery offers an unmatched selection of gorgeous designs suitable for every context. From professional workspaces to personal devices, find images that resonate with your style. Easy downloads, no registration needed, completely free access.

Download Professional Vintage Illustration | Mobile
Unlock endless possibilities with our amazing Gradient illustration collection. Featuring Desktop resolution and stunning visual compositions. Our intuitive interface makes it easy to search, preview, and download your favorite images. Whether you need one {subject} or a hundred, we make the process simple and enjoyable.

Premium Ocean Wallpaper Gallery - 8K
Your search for the perfect Dark image ends here. Our HD gallery offers an unmatched selection of stunning designs suitable for every context. From professional workspaces to personal devices, find images that resonate with your style. Easy downloads, no registration needed, completely free access.

Ocean Pictures - Ultra HD Desktop Collection
Unlock endless possibilities with our classic Sunset image collection. Featuring 8K resolution and stunning visual compositions. Our intuitive interface makes it easy to search, preview, and download your favorite images. Whether you need one {subject} or a hundred, we make the process simple and enjoyable.

Premium Abstract Texture Gallery - Ultra HD
Explore this collection of High Resolution Geometric designs perfect for your desktop or mobile device. Download high-resolution images for free. Our curated gallery features thousands of high quality designs that will transform your screen into a stunning visual experience. Whether you need backgrounds for work, personal use, or creative projects, we have the perfect selection for you.

Gradient Picture Collection - Mobile Quality
Breathtaking Nature patterns that redefine visual excellence. Our Retina gallery showcases the work of talented creators who understand the power of classic imagery. Transform your screen into a work of art with just a few clicks. All images are optimized for modern displays and retina screens.
Light Textures - Modern High Resolution Collection
Explore this collection of High Resolution Space images perfect for your desktop or mobile device. Download high-resolution images for free. Our curated gallery features thousands of creative designs that will transform your screen into a stunning visual experience. Whether you need backgrounds for work, personal use, or creative projects, we have the perfect selection for you.
Premium Colorful Pattern Gallery - HD
Professional-grade Colorful designs at your fingertips. Our Ultra HD collection is trusted by designers, content creators, and everyday users worldwide. Each {subject} undergoes rigorous quality checks to ensure it meets our high standards. Download with confidence knowing you are getting the best available content.
Conclusion
We hope this guide on Arrows How To Make Vector Length Look Better Tex Latex Stack has been helpful. Our team is constantly updating our gallery with the latest trends and high-quality resources. Check back soon for more updates on arrows how to make vector length look better tex latex stack.
Related Visuals
- Latex vector notation (arrow) - TeX - LaTeX Stack Exchange
- arrows - How to make vector length look better? - TeX - LaTeX Stack ...
- arrows - How to make vector length look better? - TeX - LaTeX Stack ...
- arrows - How to make vector length look better? - TeX - LaTeX Stack ...
- arrows - How to make vector length look better? - TeX - LaTeX Stack ...
- math mode - LaTeX: Arrows with text - TeX - LaTeX Stack Exchange
- pdftex - Advanced arrows in latex - TeX - LaTeX Stack Exchange
- commutative diagrams - Increasing the length of arrows in latex - TeX ...
- xetex - XeLaTeX problem with a vector arrow - TeX - LaTeX Stack Exchange
- xetex - XeLaTeX problem with a vector arrow - TeX - LaTeX Stack Exchange