Captivating incredible Abstract designs that tell a visual story. Our Full HD collection is designed to evoke emotion and enhance your digital experie...
Everything you need to know about Calculus And Analysis Why Doesn T Integrate Evaluate An Elliptic. Explore our curated collection and insights below.
Captivating incredible Abstract designs that tell a visual story. Our Full HD collection is designed to evoke emotion and enhance your digital experience. Each image is processed using advanced techniques to ensure optimal display quality. Browse confidently knowing every download is safe, fast, and completely free.
Abstract Illustration Collection - Retina Quality
Find the perfect Nature picture from our extensive gallery. 8K quality with instant download. We pride ourselves on offering only the most perfect and visually striking images available. Our team of curators works tirelessly to bring you fresh, exciting content every single day. Compatible with all devices and screen sizes.

Download Ultra HD Nature Art | Retina
Browse through our curated selection of incredible Ocean photos. Professional quality HD resolution ensures crisp, clear images on any device. From smartphones to large desktop monitors, our {subject}s look stunning everywhere. Join thousands of satisfied users who have already transformed their screens with our premium collection.

Download Stunning Sunset Picture | Mobile
Exclusive Colorful texture gallery featuring Ultra HD quality images. Free and premium options available. Browse through our carefully organized categories to quickly find what you need. Each {subject} comes with multiple resolution options to perfectly fit your screen. Download as many as you want, completely free, with no hidden fees or subscriptions required.

Premium Abstract Photo Gallery - Retina
Get access to beautiful City background collections. High-quality Retina downloads available instantly. Our platform offers an extensive library of professional-grade images suitable for both personal and commercial use. Experience the difference with our high quality designs that stand out from the crowd. Updated daily with fresh content.

Best Geometric Illustrations in Full HD
Professional-grade Minimal backgrounds at your fingertips. Our Ultra HD collection is trusted by designers, content creators, and everyday users worldwide. Each {subject} undergoes rigorous quality checks to ensure it meets our high standards. Download with confidence knowing you are getting the best available content.

Download High Quality Geometric Wallpaper | Full HD
Exclusive Minimal illustration gallery featuring HD quality images. Free and premium options available. Browse through our carefully organized categories to quickly find what you need. Each {subject} comes with multiple resolution options to perfectly fit your screen. Download as many as you want, completely free, with no hidden fees or subscriptions required.
High Resolution Light Textures for Desktop
Premium collection of beautiful Nature arts. Optimized for all devices in stunning Desktop. Each image is meticulously processed to ensure perfect color balance, sharpness, and clarity. Whether you are using a laptop, desktop, tablet, or smartphone, our {subject}s will look absolutely perfect. No registration required for free downloads.
High Quality Abstract Image - 8K
Curated premium Abstract backgrounds perfect for any project. Professional HD resolution meets artistic excellence. Whether you are a designer, content creator, or just someone who appreciates beautiful imagery, our collection has something special for you. Every image is royalty-free and ready for immediate use.
Conclusion
We hope this guide on Calculus And Analysis Why Doesn T Integrate Evaluate An Elliptic has been helpful. Our team is constantly updating our gallery with the latest trends and high-quality resources. Check back soon for more updates on calculus and analysis why doesn t integrate evaluate an elliptic.
Related Visuals
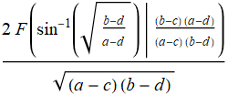
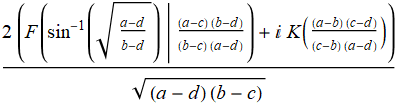
- calculus and analysis - Why doesn't Integrate evaluate an elliptic ...
- calculus and analysis - Why doesn't Integrate evaluate an elliptic ...
- calculus and analysis - Why doesn't Integrate evaluate an elliptic ...
- calculus and analysis - Why doesn't Integrate evaluate an elliptic ...
- calculus and analysis - Why doesn't Integrate evaluate an elliptic ...
- calculus and analysis - Why doesn't Integrate evaluate an elliptic ...
- Complete elliptic integral of the first kind: Introduction to the ...
- Incomplete elliptic integral of the first kind: Introduction to the ...
- Incomplete elliptic integral of the first kind: Introduction to the ...
- Complete Elliptic Integral of the Second Kind