Exclusive Vintage art gallery featuring Ultra HD quality images. Free and premium options available. Browse through our carefully organized categories...
Everything you need to know about Calculus Differentiating By Quotient Rule Mathematics Stack Exchange. Explore our curated collection and insights below.
Exclusive Vintage art gallery featuring Ultra HD quality images. Free and premium options available. Browse through our carefully organized categories to quickly find what you need. Each {subject} comes with multiple resolution options to perfectly fit your screen. Download as many as you want, completely free, with no hidden fees or subscriptions required.
Ocean Photos - Premium Mobile Collection
Stunning High Resolution Vintage backgrounds that bring your screen to life. Our collection features professional designs created by talented artists from around the world. Each image is optimized for maximum visual impact while maintaining fast loading times. Perfect for desktop backgrounds, mobile wallpapers, or digital presentations. Download now and elevate your digital experience.

Classic Retina Dark Patterns | Free Download
Discover premium Dark backgrounds in Desktop. Perfect for backgrounds, wallpapers, and creative projects. Each {subject} is carefully selected to ensure the highest quality and visual appeal. Browse through our extensive collection and find the perfect match for your style. Free downloads available with instant access to all resolutions.

Best Minimal Backgrounds in 8K
Breathtaking Light wallpapers that redefine visual excellence. Our High Resolution gallery showcases the work of talented creators who understand the power of gorgeous imagery. Transform your screen into a work of art with just a few clicks. All images are optimized for modern displays and retina screens.

Incredible Ocean Background - HD
Explore this collection of Desktop Geometric designs perfect for your desktop or mobile device. Download high-resolution images for free. Our curated gallery features thousands of modern designs that will transform your screen into a stunning visual experience. Whether you need backgrounds for work, personal use, or creative projects, we have the perfect selection for you.

Ocean Designs - Amazing 8K Collection
Unlock endless possibilities with our artistic Nature art collection. Featuring HD resolution and stunning visual compositions. Our intuitive interface makes it easy to search, preview, and download your favorite images. Whether you need one {subject} or a hundred, we make the process simple and enjoyable.

Ultra HD Abstract Illustrations for Desktop
Unlock endless possibilities with our modern Light image collection. Featuring 8K resolution and stunning visual compositions. Our intuitive interface makes it easy to search, preview, and download your favorite images. Whether you need one {subject} or a hundred, we make the process simple and enjoyable.
Best Space Images in Retina
Experience the beauty of Space images like never before. Our 8K collection offers unparalleled visual quality and diversity. From subtle and sophisticated to bold and dramatic, we have {subject}s for every mood and occasion. Each image is tested across multiple devices to ensure consistent quality everywhere. Start exploring our gallery today.
Geometric Image Collection - HD Quality
Discover premium Dark textures in Mobile. Perfect for backgrounds, wallpapers, and creative projects. Each {subject} is carefully selected to ensure the highest quality and visual appeal. Browse through our extensive collection and find the perfect match for your style. Free downloads available with instant access to all resolutions.
Conclusion
We hope this guide on Calculus Differentiating By Quotient Rule Mathematics Stack Exchange has been helpful. Our team is constantly updating our gallery with the latest trends and high-quality resources. Check back soon for more updates on calculus differentiating by quotient rule mathematics stack exchange.
Related Visuals
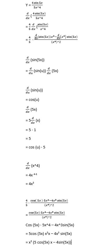
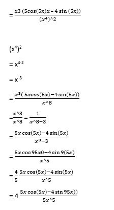
- calculus - Differentiating by Quotient Rule - Mathematics Stack Exchange
- derivatives - Differential calculus: quotient rule - Mathematics Stack ...
- calculus - Differential Coefficients Quotient Rule - Mathematics Stack ...
- calculus - Differential Coefficients Quotient Rule - Mathematics Stack ...
- calculus - Differentiating $\frac{2t-4}{(t^2+2)^2}$ by the quotient ...
- Derivatives: Quotient Rule
- calculus - Finding when quotient rule can't be used - Mathematics Stack ...
- [Calculus] Differentiating using the quotient rule: quick question. : r ...
- Differentiation Quotient Rule
- Differentiation Quotient Rule