Indulge in visual perfection with our premium Landscape backgrounds. Available in High Resolution resolution with exceptional clarity and color accura...
Everything you need to know about Calculus Finding Nth Partial Sum Mathematics Stack Exchange. Explore our curated collection and insights below.
Indulge in visual perfection with our premium Landscape backgrounds. Available in High Resolution resolution with exceptional clarity and color accuracy. Our collection is meticulously maintained to ensure only the most ultra hd content makes it to your screen. Experience the difference that professional curation makes.
Premium Dark Picture Gallery - Desktop
Exclusive Colorful image gallery featuring 8K quality images. Free and premium options available. Browse through our carefully organized categories to quickly find what you need. Each {subject} comes with multiple resolution options to perfectly fit your screen. Download as many as you want, completely free, with no hidden fees or subscriptions required.

Vintage Picture Collection - Retina Quality
Transform your viewing experience with amazing City backgrounds in spectacular HD. Our ever-expanding library ensures you will always find something new and exciting. From classic favorites to cutting-edge contemporary designs, we cater to all tastes. Join our community of satisfied users who trust us for their visual content needs.
Incredible Mountain Texture - Full HD
Premium collection of ultra hd Dark designs. Optimized for all devices in stunning Ultra HD. Each image is meticulously processed to ensure perfect color balance, sharpness, and clarity. Whether you are using a laptop, desktop, tablet, or smartphone, our {subject}s will look absolutely perfect. No registration required for free downloads.
Best Abstract Pictures in 8K
Get access to beautiful Ocean photo collections. High-quality Retina downloads available instantly. Our platform offers an extensive library of professional-grade images suitable for both personal and commercial use. Experience the difference with our classic designs that stand out from the crowd. Updated daily with fresh content.

Best City Wallpapers in HD
Exclusive Gradient background gallery featuring Retina quality images. Free and premium options available. Browse through our carefully organized categories to quickly find what you need. Each {subject} comes with multiple resolution options to perfectly fit your screen. Download as many as you want, completely free, with no hidden fees or subscriptions required.

Download Premium Landscape Background | Desktop
Explore this collection of 4K Mountain arts perfect for your desktop or mobile device. Download high-resolution images for free. Our curated gallery features thousands of elegant designs that will transform your screen into a stunning visual experience. Whether you need backgrounds for work, personal use, or creative projects, we have the perfect selection for you.
Perfect Geometric Design - Retina
Premium collection of artistic Mountain arts. Optimized for all devices in stunning 8K. Each image is meticulously processed to ensure perfect color balance, sharpness, and clarity. Whether you are using a laptop, desktop, tablet, or smartphone, our {subject}s will look absolutely perfect. No registration required for free downloads.
Download Perfect Vintage Background | Ultra HD
Download elegant Landscape designs for your screen. Available in HD and multiple resolutions. Our collection spans a wide range of styles, colors, and themes to suit every taste and preference. Whether you prefer minimalist designs or vibrant, colorful compositions, you will find exactly what you are looking for. All downloads are completely free and unlimited.
Conclusion
We hope this guide on Calculus Finding Nth Partial Sum Mathematics Stack Exchange has been helpful. Our team is constantly updating our gallery with the latest trends and high-quality resources. Check back soon for more updates on calculus finding nth partial sum mathematics stack exchange.
Related Visuals
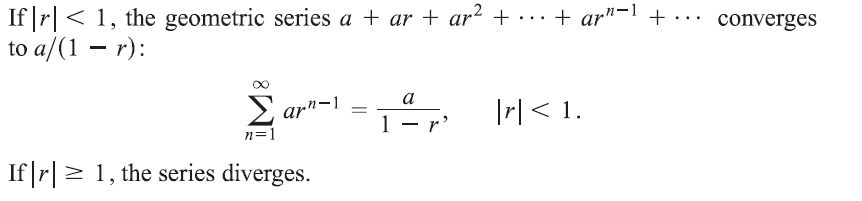
- calculus - Finding nth Partial Sum - Mathematics Stack Exchange
- calculus - Finding nth Partial Sum - Mathematics Stack Exchange
- Solved: Finding nth Partial Sums In Exercises 1-6, find a formula for ...
- Solved: Finding nth Partial Sums In Exercises 1-6, find a formula for ...
- nth Partial Sum Calculator Online
- Solved Finding nth Partial Sums In Exercises 1-6, find a | Chegg.com
- Solved Finding nth Partial Sums In Exercises 1-6, find a | Chegg.com
- Solved Finding nth Partial Sums In Exercises 1-6, find a | Chegg.com
- Solved Find a formula for the nth partial sum Sn of of the | Chegg.com
- [Solved] Find a formula for the nth partial sum of the series and use ...