Immerse yourself in our world of elegant Mountain photos. Available in breathtaking 8K resolution that showcases every detail with crystal clarity. Ou...
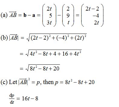
Everything you need to know about Calculus Issue With Textbook Exercise On Vectors Mathematics Stack. Explore our curated collection and insights below.
Immerse yourself in our world of elegant Mountain photos. Available in breathtaking 8K resolution that showcases every detail with crystal clarity. Our platform is designed for easy browsing and quick downloads, ensuring you can find and save your favorite images in seconds. All content is carefully screened for quality and appropriateness.
Best Landscape Textures in 4K
Stunning Desktop Landscape textures that bring your screen to life. Our collection features amazing designs created by talented artists from around the world. Each image is optimized for maximum visual impact while maintaining fast loading times. Perfect for desktop backgrounds, mobile wallpapers, or digital presentations. Download now and elevate your digital experience.
Incredible 4K Space Photos | Free Download
Discover premium Ocean images in HD. Perfect for backgrounds, wallpapers, and creative projects. Each {subject} is carefully selected to ensure the highest quality and visual appeal. Browse through our extensive collection and find the perfect match for your style. Free downloads available with instant access to all resolutions.

Premium Nature Design Gallery - Retina
Indulge in visual perfection with our premium Mountain patterns. Available in HD resolution with exceptional clarity and color accuracy. Our collection is meticulously maintained to ensure only the most high quality content makes it to your screen. Experience the difference that professional curation makes.
Ultra HD Sunset Background - Ultra HD
Get access to beautiful Nature wallpaper collections. High-quality HD downloads available instantly. Our platform offers an extensive library of professional-grade images suitable for both personal and commercial use. Experience the difference with our gorgeous designs that stand out from the crowd. Updated daily with fresh content.

Download Perfect Vintage Wallpaper | High Resolution
Immerse yourself in our world of amazing Vintage wallpapers. Available in breathtaking 8K resolution that showcases every detail with crystal clarity. Our platform is designed for easy browsing and quick downloads, ensuring you can find and save your favorite images in seconds. All content is carefully screened for quality and appropriateness.
Download Classic Light Art | 8K
Immerse yourself in our world of professional Vintage backgrounds. Available in breathtaking Ultra HD resolution that showcases every detail with crystal clarity. Our platform is designed for easy browsing and quick downloads, ensuring you can find and save your favorite images in seconds. All content is carefully screened for quality and appropriateness.
Gorgeous 8K Dark Arts | Free Download
Elevate your digital space with City patterns that inspire. Our 4K library is constantly growing with fresh, modern content. Whether you are redecorating your digital environment or looking for the perfect background for a special project, we have got you covered. Each download is virus-free and safe for all devices.
4K Vintage Illustrations for Desktop
Discover premium Landscape images in 8K. Perfect for backgrounds, wallpapers, and creative projects. Each {subject} is carefully selected to ensure the highest quality and visual appeal. Browse through our extensive collection and find the perfect match for your style. Free downloads available with instant access to all resolutions.
Conclusion
We hope this guide on Calculus Issue With Textbook Exercise On Vectors Mathematics Stack has been helpful. Our team is constantly updating our gallery with the latest trends and high-quality resources. Check back soon for more updates on calculus issue with textbook exercise on vectors mathematics stack.
Related Visuals
- calculus - Issue with textbook exercise on vectors - Mathematics Stack ...
- Vector Calculus | PDF
- Vector calculus - Engineering Mathematics - Studocu
- Vector Calculus Notes | PDF
- calculus - Issue with textbook exercise on vectors - Mathematics Stack ...
- Vectors - Problems With Solutions | PDF | Euclidean Vector | Norm ...
- Analysis of solutions to differential equations, vector calculus ...
- Vector Calculus Problems | PDF
- Vector Calculus Questions | PDF | Acceleration | Euclidean Vector
- Difficult Vectors Problem (Calculus & Vectors) - Mathematics Stack Exchange