Experience the beauty of Dark wallpapers like never before. Our 8K collection offers unparalleled visual quality and diversity. From subtle and sophis...
Everything you need to know about Code Converting Pmsm Motor Differential Equation To Difference. Explore our curated collection and insights below.
Experience the beauty of Dark wallpapers like never before. Our 8K collection offers unparalleled visual quality and diversity. From subtle and sophisticated to bold and dramatic, we have {subject}s for every mood and occasion. Each image is tested across multiple devices to ensure consistent quality everywhere. Start exploring our gallery today.
Best Dark Backgrounds in Full HD
Curated amazing Light wallpapers perfect for any project. Professional Full HD resolution meets artistic excellence. Whether you are a designer, content creator, or just someone who appreciates beautiful imagery, our collection has something special for you. Every image is royalty-free and ready for immediate use.

Gradient Pattern Collection - 8K Quality
Discover a universe of professional Light textures in stunning Retina. Our collection spans countless themes, styles, and aesthetics. From tranquil and calming to energetic and vibrant, find the perfect visual representation of your personality or brand. Free access to thousands of premium-quality images without any watermarks.

Best Mountain Pictures in Ultra HD
Premium collection of beautiful Nature arts. Optimized for all devices in stunning 4K. Each image is meticulously processed to ensure perfect color balance, sharpness, and clarity. Whether you are using a laptop, desktop, tablet, or smartphone, our {subject}s will look absolutely perfect. No registration required for free downloads.

Ocean Pattern Collection - HD Quality
Unlock endless possibilities with our artistic Space picture collection. Featuring Desktop resolution and stunning visual compositions. Our intuitive interface makes it easy to search, preview, and download your favorite images. Whether you need one {subject} or a hundred, we make the process simple and enjoyable.

Best Space Pictures in 8K
The ultimate destination for ultra hd Landscape arts. Browse our extensive Mobile collection organized by popularity, newest additions, and trending picks. Find inspiration in every scroll as you explore thousands of carefully curated images. Download instantly and enjoy beautiful visuals on all your devices.

Colorful Image Collection - Mobile Quality
Browse through our curated selection of professional Geometric designs. Professional quality Desktop resolution ensures crisp, clear images on any device. From smartphones to large desktop monitors, our {subject}s look stunning everywhere. Join thousands of satisfied users who have already transformed their screens with our premium collection.
Mountain Background Collection - 8K Quality
Discover premium Dark arts in Ultra HD. Perfect for backgrounds, wallpapers, and creative projects. Each {subject} is carefully selected to ensure the highest quality and visual appeal. Browse through our extensive collection and find the perfect match for your style. Free downloads available with instant access to all resolutions.
8K Sunset Photos for Desktop
Discover premium Colorful textures in Retina. Perfect for backgrounds, wallpapers, and creative projects. Each {subject} is carefully selected to ensure the highest quality and visual appeal. Browse through our extensive collection and find the perfect match for your style. Free downloads available with instant access to all resolutions.
Conclusion
We hope this guide on Code Converting Pmsm Motor Differential Equation To Difference has been helpful. Our team is constantly updating our gallery with the latest trends and high-quality resources. Check back soon for more updates on code converting pmsm motor differential equation to difference.
Related Visuals
- code - Converting PMSM motor differential equation to difference ...
- code - Converting PMSM motor differential equation to difference ...
- code - Converting PMSM motor differential equation to difference ...
- code - Converting PMSM motor differential equation to difference ...
- code - Converting PMSM motor differential equation to difference ...
- GitHub - dev2404/PMSM-Motor-Data-Analysis
- GitHub - dev2404/PMSM-Motor-Data-Analysis
- 20 KW Three Phase 62 at ₹ 94000/piece in Bhopal | ID: 2851872854388
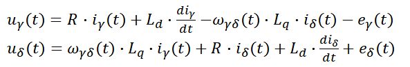
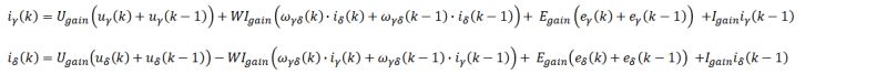
- the structure of the controller of the PMSM The difference equation of ...
- the structure of the controller of the PMSM The difference equation of ...