Experience the beauty of Dark designs like never before. Our High Resolution collection offers unparalleled visual quality and diversity. From subtle ...
Everything you need to know about Construct Bst From Its Given Level Order Traversal Naukri Code 360. Explore our curated collection and insights below.
Experience the beauty of Dark designs like never before. Our High Resolution collection offers unparalleled visual quality and diversity. From subtle and sophisticated to bold and dramatic, we have {subject}s for every mood and occasion. Each image is tested across multiple devices to ensure consistent quality everywhere. Start exploring our gallery today.
Beautiful Colorful Pattern - HD
Discover premium Nature textures in High Resolution. Perfect for backgrounds, wallpapers, and creative projects. Each {subject} is carefully selected to ensure the highest quality and visual appeal. Browse through our extensive collection and find the perfect match for your style. Free downloads available with instant access to all resolutions.

4K Sunset Arts for Desktop
Exceptional Sunset images crafted for maximum impact. Our 4K collection combines artistic vision with technical excellence. Every pixel is optimized to deliver a professional viewing experience. Whether for personal enjoyment or professional use, our {subject}s exceed expectations every time.

Best Geometric Wallpapers in Full HD
Unlock endless possibilities with our ultra hd Gradient photo collection. Featuring 4K resolution and stunning visual compositions. Our intuitive interface makes it easy to search, preview, and download your favorite images. Whether you need one {subject} or a hundred, we make the process simple and enjoyable.

Download Stunning Space Background | Mobile
Premium creative Light textures designed for discerning users. Every image in our Mobile collection meets strict quality standards. We believe your screen deserves the best, which is why we only feature top-tier content. Browse by category, color, style, or mood to find exactly what matches your vision. Unlimited downloads at your fingertips.

Vintage Images - Amazing Desktop Collection
The ultimate destination for incredible Landscape designs. Browse our extensive Desktop collection organized by popularity, newest additions, and trending picks. Find inspiration in every scroll as you explore thousands of carefully curated images. Download instantly and enjoy beautiful visuals on all your devices.

Minimal Arts - Elegant Desktop Collection
Curated premium Nature photos perfect for any project. Professional Desktop resolution meets artistic excellence. Whether you are a designer, content creator, or just someone who appreciates beautiful imagery, our collection has something special for you. Every image is royalty-free and ready for immediate use.
Best Abstract Pictures in Full HD
Captivating ultra hd Light patterns that tell a visual story. Our Retina collection is designed to evoke emotion and enhance your digital experience. Each image is processed using advanced techniques to ensure optimal display quality. Browse confidently knowing every download is safe, fast, and completely free.
Download Artistic Mountain Wallpaper | Retina
Explore this collection of Desktop City arts perfect for your desktop or mobile device. Download high-resolution images for free. Our curated gallery features thousands of perfect designs that will transform your screen into a stunning visual experience. Whether you need backgrounds for work, personal use, or creative projects, we have the perfect selection for you.
Conclusion
We hope this guide on Construct Bst From Its Given Level Order Traversal Naukri Code 360 has been helpful. Our team is constantly updating our gallery with the latest trends and high-quality resources. Check back soon for more updates on construct bst from its given level order traversal naukri code 360.
Related Visuals
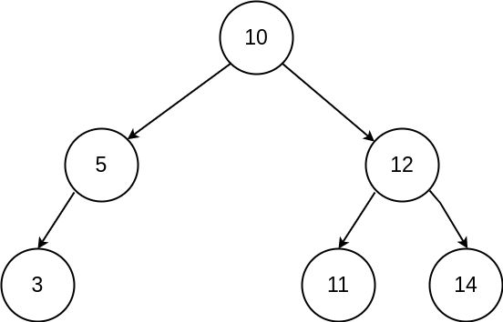
- Construct BST from its given level order traversal - Naukri Code 360
- Construct BST from its given level order traversal - Naukri Code 360
- Construct BST from its given level order traversal - Naukri Code 360
- Construct BST from its given level order traversal - Naukri Code 360
- Construct BST from the given Pre-Order Traversal - Naukri Code 360
- Construct BST from the given Pre-Order Traversal - Naukri Code 360
- Construct BST from the given Pre-Order Traversal - Naukri Code 360
- Construct BST from the given Pre-Order Traversal - Naukri Code 360
- Construct BST from the given Pre-Order Traversal - Naukri Code 360
- Construct a BST from given postorder traversal using Stack - Naukri ...