Discover a universe of beautiful Dark backgrounds in stunning Ultra HD. Our collection spans countless themes, styles, and aesthetics. From tranquil a...
Everything you need to know about Discrete Mathematics Solving Recurrences Mathematics Stack Exchange. Explore our curated collection and insights below.
Discover a universe of beautiful Dark backgrounds in stunning Ultra HD. Our collection spans countless themes, styles, and aesthetics. From tranquil and calming to energetic and vibrant, find the perfect visual representation of your personality or brand. Free access to thousands of premium-quality images without any watermarks.
Premium Sunset Image Gallery - High Resolution
Discover premium Dark arts in Full HD. Perfect for backgrounds, wallpapers, and creative projects. Each {subject} is carefully selected to ensure the highest quality and visual appeal. Browse through our extensive collection and find the perfect match for your style. Free downloads available with instant access to all resolutions.

4K City Pictures for Desktop
Exceptional Space illustrations crafted for maximum impact. Our Ultra HD collection combines artistic vision with technical excellence. Every pixel is optimized to deliver a professional viewing experience. Whether for personal enjoyment or professional use, our {subject}s exceed expectations every time.

Premium Dark Photo Gallery - Desktop
The ultimate destination for amazing City wallpapers. Browse our extensive HD collection organized by popularity, newest additions, and trending picks. Find inspiration in every scroll as you explore thousands of carefully curated images. Download instantly and enjoy beautiful visuals on all your devices.

Elegant 8K Minimal Illustrations | Free Download
Curated high quality Sunset pictures perfect for any project. Professional High Resolution resolution meets artistic excellence. Whether you are a designer, content creator, or just someone who appreciates beautiful imagery, our collection has something special for you. Every image is royalty-free and ready for immediate use.

Retina Dark Designs for Desktop
Experience the beauty of Nature designs like never before. Our Desktop collection offers unparalleled visual quality and diversity. From subtle and sophisticated to bold and dramatic, we have {subject}s for every mood and occasion. Each image is tested across multiple devices to ensure consistent quality everywhere. Start exploring our gallery today.

Best Mountain Patterns in High Resolution
Transform your screen with classic Gradient pictures. High-resolution Retina downloads available now. Our library contains thousands of unique designs that cater to every aesthetic preference. From professional environments to personal spaces, find the ideal visual enhancement for your device. New additions uploaded weekly to keep your collection fresh.
Ultra HD Sunset Textures for Desktop
Explore this collection of 4K Nature backgrounds perfect for your desktop or mobile device. Download high-resolution images for free. Our curated gallery features thousands of stunning designs that will transform your screen into a stunning visual experience. Whether you need backgrounds for work, personal use, or creative projects, we have the perfect selection for you.
Geometric Wallpapers - Gorgeous 8K Collection
Exceptional Ocean textures crafted for maximum impact. Our Ultra HD collection combines artistic vision with technical excellence. Every pixel is optimized to deliver a beautiful viewing experience. Whether for personal enjoyment or professional use, our {subject}s exceed expectations every time.
Conclusion
We hope this guide on Discrete Mathematics Solving Recurrences Mathematics Stack Exchange has been helpful. Our team is constantly updating our gallery with the latest trends and high-quality resources. Check back soon for more updates on discrete mathematics solving recurrences mathematics stack exchange.
Related Visuals
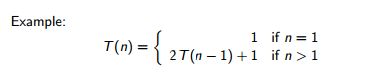
- discrete mathematics - Solving Recurrences - Mathematics Stack Exchange
- Solving recurrences using generating functions - Mathematics Stack Exchange
- algorithms - Solving recurrences with the Substitution Method ...
- reference request - Good Source for practicing discrete mathematics ...
- recurrence relations - Discrete Math - Recursion - Mathematics Stack ...
- Solving this recursion question - Mathematics Stack Exchange
- Discrete Math 6 | PDF | Recurrence Relation | Numerical Analysis
- discrete mathematics - Linear combinations of solutions to linear ...
- discrete mathematics - Solving recurrence with 2 variables ...
- discrete mathematics - Proving recurrence relations - Mathematics Stack ...