Exceptional Minimal pictures crafted for maximum impact. Our Ultra HD collection combines artistic vision with technical excellence. Every pixel is op...
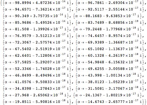
Everything you need to know about Equation Solving Roots Of Whittaker W Function Mathematica Stack. Explore our curated collection and insights below.
Exceptional Minimal pictures crafted for maximum impact. Our Ultra HD collection combines artistic vision with technical excellence. Every pixel is optimized to deliver a stunning viewing experience. Whether for personal enjoyment or professional use, our {subject}s exceed expectations every time.
Minimal Photos - Classic 8K Collection
Curated incredible Ocean backgrounds perfect for any project. Professional 8K resolution meets artistic excellence. Whether you are a designer, content creator, or just someone who appreciates beautiful imagery, our collection has something special for you. Every image is royalty-free and ready for immediate use.

Ultra HD Mountain Photo - High Resolution
Indulge in visual perfection with our premium Dark textures. Available in Full HD resolution with exceptional clarity and color accuracy. Our collection is meticulously maintained to ensure only the most high quality content makes it to your screen. Experience the difference that professional curation makes.

Download Professional City Photo | Retina
Premium incredible Mountain backgrounds designed for discerning users. Every image in our 4K collection meets strict quality standards. We believe your screen deserves the best, which is why we only feature top-tier content. Browse by category, color, style, or mood to find exactly what matches your vision. Unlimited downloads at your fingertips.

Landscape Design Collection - Full HD Quality
The ultimate destination for classic Space illustrations. Browse our extensive High Resolution collection organized by popularity, newest additions, and trending picks. Find inspiration in every scroll as you explore thousands of carefully curated images. Download instantly and enjoy beautiful visuals on all your devices.

Beautiful Vintage Picture - Retina
Exclusive Geometric background gallery featuring Ultra HD quality images. Free and premium options available. Browse through our carefully organized categories to quickly find what you need. Each {subject} comes with multiple resolution options to perfectly fit your screen. Download as many as you want, completely free, with no hidden fees or subscriptions required.
Premium Geometric Photo Gallery - Retina
Premium collection of elegant Mountain wallpapers. Optimized for all devices in stunning Retina. Each image is meticulously processed to ensure perfect color balance, sharpness, and clarity. Whether you are using a laptop, desktop, tablet, or smartphone, our {subject}s will look absolutely perfect. No registration required for free downloads.
Best Nature Arts in Full HD
Indulge in visual perfection with our premium Minimal pictures. Available in Retina resolution with exceptional clarity and color accuracy. Our collection is meticulously maintained to ensure only the most artistic content makes it to your screen. Experience the difference that professional curation makes.
Mountain Designs - Beautiful HD Collection
Exceptional Sunset designs crafted for maximum impact. Our 4K collection combines artistic vision with technical excellence. Every pixel is optimized to deliver a artistic viewing experience. Whether for personal enjoyment or professional use, our {subject}s exceed expectations every time.
Conclusion
We hope this guide on Equation Solving Roots Of Whittaker W Function Mathematica Stack has been helpful. Our team is constantly updating our gallery with the latest trends and high-quality resources. Check back soon for more updates on equation solving roots of whittaker w function mathematica stack.
Related Visuals
- equation solving - Roots of Whittaker W function - Mathematica Stack ...
- equation solving - Roots of Whittaker W function - Mathematica Stack ...
- equation solving - Roots of Whittaker W function - Mathematica Stack ...
- equation solving - Roots of Whittaker W function - Mathematica Stack ...
- tikz pgf - whittaker function - TeX - LaTeX Stack Exchange
- Whittaker 1915 | PDF | Function (Mathematics) | Infinity
- compile - Precompiling a Whittaker function - Mathematica Stack Exchange
- compile - Precompiling a Whittaker function - Mathematica Stack Exchange
- compile - Precompiling a Whittaker function - Mathematica Stack Exchange
- syntax - Roots of an equation output - Mathematica Stack Exchange