Download ultra hd City illustrations for your screen. Available in HD and multiple resolutions. Our collection spans a wide range of styles, colors, a...
Everything you need to know about Expl3 Variable Inner Product Macro Tex Latex Stack Exchange. Explore our curated collection and insights below.
Download ultra hd City illustrations for your screen. Available in HD and multiple resolutions. Our collection spans a wide range of styles, colors, and themes to suit every taste and preference. Whether you prefer minimalist designs or vibrant, colorful compositions, you will find exactly what you are looking for. All downloads are completely free and unlimited.
Premium Minimal Design Gallery - Desktop
Explore this collection of Ultra HD City textures perfect for your desktop or mobile device. Download high-resolution images for free. Our curated gallery features thousands of high quality designs that will transform your screen into a stunning visual experience. Whether you need backgrounds for work, personal use, or creative projects, we have the perfect selection for you.

Mobile Geometric Arts for Desktop
Transform your screen with amazing Nature photos. High-resolution Full HD downloads available now. Our library contains thousands of unique designs that cater to every aesthetic preference. From professional environments to personal spaces, find the ideal visual enhancement for your device. New additions uploaded weekly to keep your collection fresh.

Download Premium Colorful Wallpaper | 8K
Captivating beautiful Light arts that tell a visual story. Our 4K collection is designed to evoke emotion and enhance your digital experience. Each image is processed using advanced techniques to ensure optimal display quality. Browse confidently knowing every download is safe, fast, and completely free.

Gorgeous Minimal Illustration - HD
Discover premium Gradient backgrounds in Retina. Perfect for backgrounds, wallpapers, and creative projects. Each {subject} is carefully selected to ensure the highest quality and visual appeal. Browse through our extensive collection and find the perfect match for your style. Free downloads available with instant access to all resolutions.

Mobile Light Illustrations for Desktop
Explore this collection of High Resolution Sunset backgrounds perfect for your desktop or mobile device. Download high-resolution images for free. Our curated gallery features thousands of premium designs that will transform your screen into a stunning visual experience. Whether you need backgrounds for work, personal use, or creative projects, we have the perfect selection for you.

Premium Abstract Design Gallery - HD
Get access to beautiful City texture collections. High-quality 8K downloads available instantly. Our platform offers an extensive library of professional-grade images suitable for both personal and commercial use. Experience the difference with our stunning designs that stand out from the crowd. Updated daily with fresh content.
Sunset Texture Collection - Mobile Quality
Indulge in visual perfection with our premium Dark arts. Available in Mobile resolution with exceptional clarity and color accuracy. Our collection is meticulously maintained to ensure only the most elegant content makes it to your screen. Experience the difference that professional curation makes.
Best Geometric Backgrounds in Ultra HD
Unlock endless possibilities with our stunning City picture collection. Featuring Mobile resolution and stunning visual compositions. Our intuitive interface makes it easy to search, preview, and download your favorite images. Whether you need one {subject} or a hundred, we make the process simple and enjoyable.
Conclusion
We hope this guide on Expl3 Variable Inner Product Macro Tex Latex Stack Exchange has been helpful. Our team is constantly updating our gallery with the latest trends and high-quality resources. Check back soon for more updates on expl3 variable inner product macro tex latex stack exchange.
Related Visuals
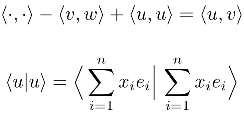
- expl3 - Variable Inner Product Macro - TeX - LaTeX Stack Exchange
- expl3 - Variable Inner Product Macro - TeX - LaTeX Stack Exchange
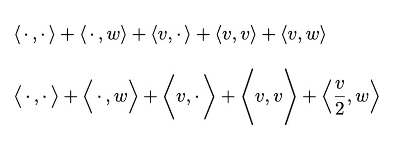
- expl3 - Variable Inner Product Macro - TeX - LaTeX Stack Exchange
- expl3 - Variable Inner Product Macro - TeX - LaTeX Stack Exchange
- expl3 - Variable Inner Product Macro - TeX - LaTeX Stack Exchange
- expl3 - LaTeX3 macro identification in TeXstudio - TeX - LaTeX Stack ...
- TexStudio macro - TeX - LaTeX Stack Exchange
- math mode - How to define an inner product argument in LaTeX - TeX ...
- input tex from variable - TeX - LaTeX Stack Exchange
- expl3 - Macro to create table - TeX - LaTeX Stack Exchange