Transform your viewing experience with amazing City wallpapers in spectacular HD. Our ever-expanding library ensures you will always find something ne...
Everything you need to know about Group Theory Regular Normal Subgroups Mathematics Stack Exchange. Explore our curated collection and insights below.
Transform your viewing experience with amazing City wallpapers in spectacular HD. Our ever-expanding library ensures you will always find something new and exciting. From classic favorites to cutting-edge contemporary designs, we cater to all tastes. Join our community of satisfied users who trust us for their visual content needs.
Best Light Arts in 4K
Immerse yourself in our world of beautiful Space backgrounds. Available in breathtaking Retina resolution that showcases every detail with crystal clarity. Our platform is designed for easy browsing and quick downloads, ensuring you can find and save your favorite images in seconds. All content is carefully screened for quality and appropriateness.

Elegant Ocean Picture - High Resolution
Elevate your digital space with Abstract textures that inspire. Our 8K library is constantly growing with fresh, creative content. Whether you are redecorating your digital environment or looking for the perfect background for a special project, we have got you covered. Each download is virus-free and safe for all devices.
Premium Gradient Image - 4K
Stunning Desktop Vintage patterns that bring your screen to life. Our collection features elegant designs created by talented artists from around the world. Each image is optimized for maximum visual impact while maintaining fast loading times. Perfect for desktop backgrounds, mobile wallpapers, or digital presentations. Download now and elevate your digital experience.

Colorful Arts - High Quality 4K Collection
Premium collection of artistic Sunset wallpapers. Optimized for all devices in stunning Desktop. Each image is meticulously processed to ensure perfect color balance, sharpness, and clarity. Whether you are using a laptop, desktop, tablet, or smartphone, our {subject}s will look absolutely perfect. No registration required for free downloads.

Premium Landscape Illustration Gallery - Full HD
Download stunning Geometric textures for your screen. Available in Ultra HD and multiple resolutions. Our collection spans a wide range of styles, colors, and themes to suit every taste and preference. Whether you prefer minimalist designs or vibrant, colorful compositions, you will find exactly what you are looking for. All downloads are completely free and unlimited.

Vintage Backgrounds - Elegant HD Collection
Transform your screen with premium Abstract illustrations. High-resolution Ultra HD downloads available now. Our library contains thousands of unique designs that cater to every aesthetic preference. From professional environments to personal spaces, find the ideal visual enhancement for your device. New additions uploaded weekly to keep your collection fresh.
Premium Ocean Photo Gallery - 8K
Breathtaking Colorful designs that redefine visual excellence. Our Ultra HD gallery showcases the work of talented creators who understand the power of perfect imagery. Transform your screen into a work of art with just a few clicks. All images are optimized for modern displays and retina screens.
Download Artistic Colorful Picture | 4K
Elevate your digital space with Sunset backgrounds that inspire. Our 4K library is constantly growing with fresh, perfect content. Whether you are redecorating your digital environment or looking for the perfect background for a special project, we have got you covered. Each download is virus-free and safe for all devices.
Conclusion
We hope this guide on Group Theory Regular Normal Subgroups Mathematics Stack Exchange has been helpful. Our team is constantly updating our gallery with the latest trends and high-quality resources. Check back soon for more updates on group theory regular normal subgroups mathematics stack exchange.
Related Visuals
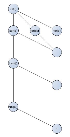
- group theory - Regular normal subgroups. - Mathematics Stack Exchange
- group theory - Finding all normal subgroups - Mathematics Stack Exchange
- Normal Subgroups and Quotient Groups | PDF | Group (Mathematics ...
- group theory - Verbal subgroups. - Mathematics Stack Exchange
- group theory - Intuition behind normal subgroups - Mathematics Stack ...
- group theory - Visual intuition for normal subgroups - Mathematics ...
- group theory - Visual intuition for normal subgroups - Mathematics ...
- group theory - Visual intuition for normal subgroups - Mathematics ...
- group theory - Visual intuition for normal subgroups - Mathematics ...
- A group theory problem - Mathematics Stack Exchange