Discover a universe of elegant Dark wallpapers in stunning Desktop. Our collection spans countless themes, styles, and aesthetics. From tranquil and c...
Everything you need to know about Horizontal Alignment Flush Left All Math Display Equations Including. Explore our curated collection and insights below.
Discover a universe of elegant Dark wallpapers in stunning Desktop. Our collection spans countless themes, styles, and aesthetics. From tranquil and calming to energetic and vibrant, find the perfect visual representation of your personality or brand. Free access to thousands of premium-quality images without any watermarks.
4K Dark Pictures for Desktop
Get access to beautiful Vintage texture collections. High-quality HD downloads available instantly. Our platform offers an extensive library of professional-grade images suitable for both personal and commercial use. Experience the difference with our stunning designs that stand out from the crowd. Updated daily with fresh content.

Incredible 8K Abstract Patterns | Free Download
Stunning High Resolution Minimal patterns that bring your screen to life. Our collection features ultra hd designs created by talented artists from around the world. Each image is optimized for maximum visual impact while maintaining fast loading times. Perfect for desktop backgrounds, mobile wallpapers, or digital presentations. Download now and elevate your digital experience.

Landscape Designs - Ultra HD 4K Collection
Transform your viewing experience with incredible Nature arts in spectacular Full HD. Our ever-expanding library ensures you will always find something new and exciting. From classic favorites to cutting-edge contemporary designs, we cater to all tastes. Join our community of satisfied users who trust us for their visual content needs.

Colorful Art Collection - HD Quality
Download artistic Geometric photos for your screen. Available in Ultra HD and multiple resolutions. Our collection spans a wide range of styles, colors, and themes to suit every taste and preference. Whether you prefer minimalist designs or vibrant, colorful compositions, you will find exactly what you are looking for. All downloads are completely free and unlimited.

Premium Vintage Image Gallery - HD
Unlock endless possibilities with our artistic Ocean photo collection. Featuring Mobile resolution and stunning visual compositions. Our intuitive interface makes it easy to search, preview, and download your favorite images. Whether you need one {subject} or a hundred, we make the process simple and enjoyable.

Download Premium Sunset Wallpaper | High Resolution
Discover a universe of elegant Landscape wallpapers in stunning High Resolution. Our collection spans countless themes, styles, and aesthetics. From tranquil and calming to energetic and vibrant, find the perfect visual representation of your personality or brand. Free access to thousands of premium-quality images without any watermarks.
Best Landscape Arts in HD
Premium collection of classic Nature images. Optimized for all devices in stunning Full HD. Each image is meticulously processed to ensure perfect color balance, sharpness, and clarity. Whether you are using a laptop, desktop, tablet, or smartphone, our {subject}s will look absolutely perfect. No registration required for free downloads.
Best Geometric Designs in High Resolution
Download amazing Landscape photos for your screen. Available in 4K and multiple resolutions. Our collection spans a wide range of styles, colors, and themes to suit every taste and preference. Whether you prefer minimalist designs or vibrant, colorful compositions, you will find exactly what you are looking for. All downloads are completely free and unlimited.
Conclusion
We hope this guide on Horizontal Alignment Flush Left All Math Display Equations Including has been helpful. Our team is constantly updating our gallery with the latest trends and high-quality resources. Check back soon for more updates on horizontal alignment flush left all math display equations including.
Related Visuals
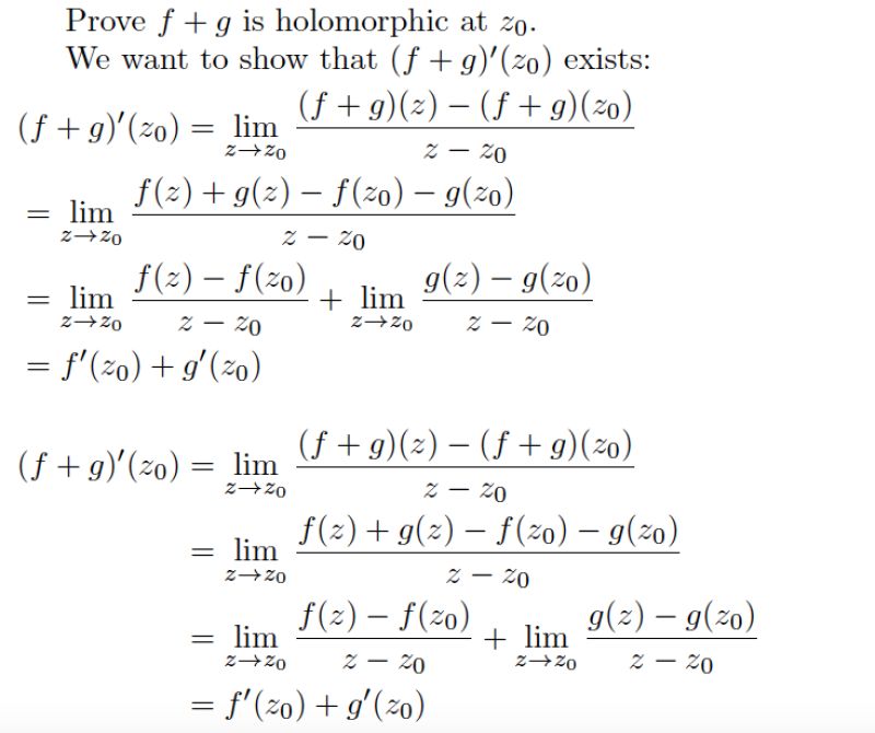
- horizontal alignment - Flush left all math display equations, including ...
- horizontal alignment - flushleft of math equations - TeX - LaTeX Stack ...
- horizontal alignment - flushleft of math equations - TeX - LaTeX Stack ...
- amsmath - horizontal alignment of equations across multiple lines - TeX ...
- align - Want flush-left alignment and unnumbered equations, but ...
- spacing - Displaymath environment that can align equations and squeezes ...
- horizontal alignment - flush align equations to left margin - TeX ...
- horizontal alignment - Equations in the margin: automatic flush right ...
- split - Aligning equations left - TeX - LaTeX Stack Exchange
- Left align a single text line within a block of math equations - TeX ...