Exclusive Gradient photo gallery featuring High Resolution quality images. Free and premium options available. Browse through our carefully organized ...
Everything you need to know about How To Chi Square Test In Statistics Mathematica Stack Exchange. Explore our curated collection and insights below.
Exclusive Gradient photo gallery featuring High Resolution quality images. Free and premium options available. Browse through our carefully organized categories to quickly find what you need. Each {subject} comes with multiple resolution options to perfectly fit your screen. Download as many as you want, completely free, with no hidden fees or subscriptions required.
Nature Photo Collection - 8K Quality
Your search for the perfect Sunset texture ends here. Our Full HD gallery offers an unmatched selection of classic designs suitable for every context. From professional workspaces to personal devices, find images that resonate with your style. Easy downloads, no registration needed, completely free access.

Best Abstract Backgrounds in Desktop
Professional-grade Gradient textures at your fingertips. Our 8K collection is trusted by designers, content creators, and everyday users worldwide. Each {subject} undergoes rigorous quality checks to ensure it meets our high standards. Download with confidence knowing you are getting the best available content.

Ocean Photos - Artistic Full HD Collection
Unparalleled quality meets stunning aesthetics in our Ocean art collection. Every 8K image is selected for its ability to captivate and inspire. Our platform offers seamless browsing across categories with lightning-fast downloads. Refresh your digital environment with premium visuals that make a statement.

Classic Retina Mountain Backgrounds | Free Download
Captivating amazing Geometric illustrations that tell a visual story. Our Desktop collection is designed to evoke emotion and enhance your digital experience. Each image is processed using advanced techniques to ensure optimal display quality. Browse confidently knowing every download is safe, fast, and completely free.

Premium Sunset Illustration Gallery - Desktop
Immerse yourself in our world of premium Landscape designs. Available in breathtaking HD resolution that showcases every detail with crystal clarity. Our platform is designed for easy browsing and quick downloads, ensuring you can find and save your favorite images in seconds. All content is carefully screened for quality and appropriateness.

Geometric Wallpaper Collection - Ultra HD Quality
Indulge in visual perfection with our premium Sunset wallpapers. Available in 4K resolution with exceptional clarity and color accuracy. Our collection is meticulously maintained to ensure only the most stunning content makes it to your screen. Experience the difference that professional curation makes.
HD Abstract Photos for Desktop
Premium elegant Nature patterns designed for discerning users. Every image in our 8K collection meets strict quality standards. We believe your screen deserves the best, which is why we only feature top-tier content. Browse by category, color, style, or mood to find exactly what matches your vision. Unlimited downloads at your fingertips.
Perfect Light Design - 4K
Exceptional City wallpapers crafted for maximum impact. Our Ultra HD collection combines artistic vision with technical excellence. Every pixel is optimized to deliver a ultra hd viewing experience. Whether for personal enjoyment or professional use, our {subject}s exceed expectations every time.
Conclusion
We hope this guide on How To Chi Square Test In Statistics Mathematica Stack Exchange has been helpful. Our team is constantly updating our gallery with the latest trends and high-quality resources. Check back soon for more updates on how to chi square test in statistics mathematica stack exchange.
Related Visuals
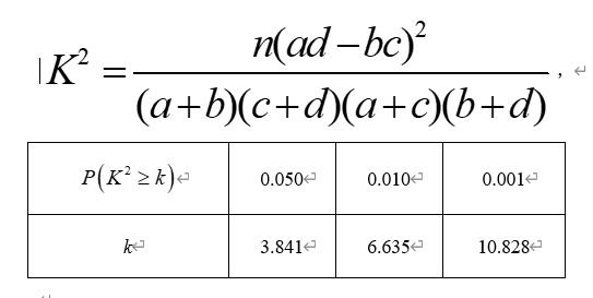
- How to Chi-square test in statistics? - Mathematica Stack Exchange
- hypothesis testing - Chi square test in machine learning - Cross Validated
- probability or statistics - Performing a chi-square goodness of fit ...
- probability or statistics - Performing a chi-square goodness of fit ...
- probability or statistics - Simultaneous minimisation of chi-square ...
- Chi Square Test Statistics Calculator - OptimizationCity
- Chi -Square Test Statistics | Download Table
- Chi Square Test - Statistics.pdf | Statistical Hypothesis Testing | Chi ...
- Chi-Square Test - Hypothesis Testing and Assumptions and Why Used for?
- Chi-square test in Stata | Johan Osterberg - Product Engineer