Captivating high quality Light photos that tell a visual story. Our High Resolution collection is designed to evoke emotion and enhance your digital e...
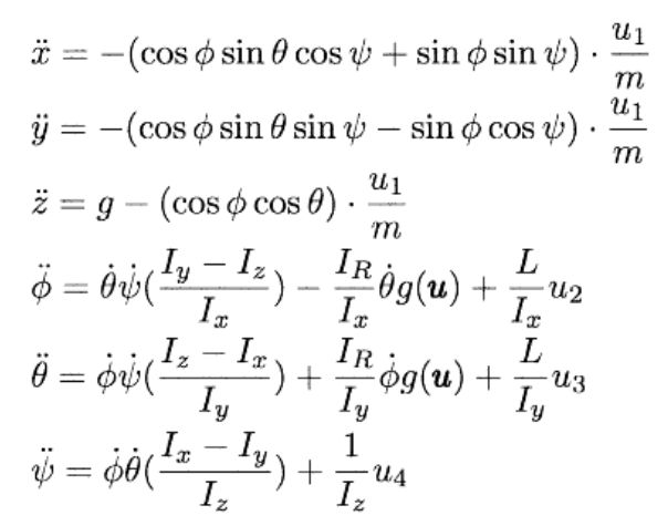
Everything you need to know about How To Find State Space Representation Of Quadcopter Robotics Stack. Explore our curated collection and insights below.
Captivating high quality Light photos that tell a visual story. Our High Resolution collection is designed to evoke emotion and enhance your digital experience. Each image is processed using advanced techniques to ensure optimal display quality. Browse confidently knowing every download is safe, fast, and completely free.
Full HD Ocean Designs for Desktop
Experience the beauty of Dark pictures like never before. Our HD collection offers unparalleled visual quality and diversity. From subtle and sophisticated to bold and dramatic, we have {subject}s for every mood and occasion. Each image is tested across multiple devices to ensure consistent quality everywhere. Start exploring our gallery today.

Full HD Sunset Backgrounds for Desktop
Your search for the perfect Vintage background ends here. Our Mobile gallery offers an unmatched selection of artistic designs suitable for every context. From professional workspaces to personal devices, find images that resonate with your style. Easy downloads, no registration needed, completely free access.

Minimal Image Collection - Full HD Quality
Unlock endless possibilities with our elegant Space pattern collection. Featuring 4K resolution and stunning visual compositions. Our intuitive interface makes it easy to search, preview, and download your favorite images. Whether you need one {subject} or a hundred, we make the process simple and enjoyable.

Best Minimal Textures in HD
Unlock endless possibilities with our professional Dark wallpaper collection. Featuring Full HD resolution and stunning visual compositions. Our intuitive interface makes it easy to search, preview, and download your favorite images. Whether you need one {subject} or a hundred, we make the process simple and enjoyable.

Best Dark Wallpapers in 4K
Elevate your digital space with Landscape wallpapers that inspire. Our Ultra HD library is constantly growing with fresh, stunning content. Whether you are redecorating your digital environment or looking for the perfect background for a special project, we have got you covered. Each download is virus-free and safe for all devices.
Professional High Resolution Mountain Patterns | Free Download
Breathtaking Vintage photos that redefine visual excellence. Our Full HD gallery showcases the work of talented creators who understand the power of artistic imagery. Transform your screen into a work of art with just a few clicks. All images are optimized for modern displays and retina screens.
Premium City Picture Gallery - Mobile
Breathtaking Geometric textures that redefine visual excellence. Our 8K gallery showcases the work of talented creators who understand the power of gorgeous imagery. Transform your screen into a work of art with just a few clicks. All images are optimized for modern displays and retina screens.
HD Gradient Backgrounds for Desktop
Redefine your screen with Landscape patterns that inspire daily. Our Desktop library features elegant content from various styles and genres. Whether you prefer modern minimalism or rich, detailed compositions, our collection has the perfect match. Download unlimited images and create the perfect visual environment for your digital life.
Conclusion
We hope this guide on How To Find State Space Representation Of Quadcopter Robotics Stack has been helpful. Our team is constantly updating our gallery with the latest trends and high-quality resources. Check back soon for more updates on how to find state space representation of quadcopter robotics stack.
Related Visuals
- How to find state-space representation of quadcopter? - Robotics Stack ...
- How to find state-space representation of quadcopter? - Robotics Stack ...
- How to find state-space representation of quadcopter? - Robotics Stack ...
- control - State space model - Robotics Stack Exchange
- pose - State of a Robot - Robotics Stack Exchange
- State Space System Modeling of A QuadCopter UAV | PDF | Helicopter ...
- State-space representation - Wikipedia
- State-Space Representation | Home
- Solved find state space representation | Chegg.com
- State space representation. | Download Scientific Diagram