Professional-grade Mountain photos at your fingertips. Our Retina collection is trusted by designers, content creators, and everyday users worldwide. ...
Everything you need to know about Implied Volatility From Heston Model Quantitative Finance Stack Exchange. Explore our curated collection and insights below.
Professional-grade Mountain photos at your fingertips. Our Retina collection is trusted by designers, content creators, and everyday users worldwide. Each {subject} undergoes rigorous quality checks to ensure it meets our high standards. Download with confidence knowing you are getting the best available content.
Elegant Space Texture - 8K
Transform your screen with classic Ocean illustrations. High-resolution 8K downloads available now. Our library contains thousands of unique designs that cater to every aesthetic preference. From professional environments to personal spaces, find the ideal visual enhancement for your device. New additions uploaded weekly to keep your collection fresh.

Premium Colorful Pattern Gallery - Mobile
Find the perfect Light illustration from our extensive gallery. Mobile quality with instant download. We pride ourselves on offering only the most elegant and visually striking images available. Our team of curators works tirelessly to bring you fresh, exciting content every single day. Compatible with all devices and screen sizes.

Mountain Textures - Modern High Resolution Collection
Transform your viewing experience with creative Geometric designs in spectacular Ultra HD. Our ever-expanding library ensures you will always find something new and exciting. From classic favorites to cutting-edge contemporary designs, we cater to all tastes. Join our community of satisfied users who trust us for their visual content needs.

Sunset Illustration Collection - Ultra HD Quality
Exclusive City wallpaper gallery featuring High Resolution quality images. Free and premium options available. Browse through our carefully organized categories to quickly find what you need. Each {subject} comes with multiple resolution options to perfectly fit your screen. Download as many as you want, completely free, with no hidden fees or subscriptions required.

Amazing HD Space Illustrations | Free Download
Breathtaking Light textures that redefine visual excellence. Our 8K gallery showcases the work of talented creators who understand the power of ultra hd imagery. Transform your screen into a work of art with just a few clicks. All images are optimized for modern displays and retina screens.

Sunset Backgrounds - Amazing 4K Collection
The ultimate destination for gorgeous City backgrounds. Browse our extensive Desktop collection organized by popularity, newest additions, and trending picks. Find inspiration in every scroll as you explore thousands of carefully curated images. Download instantly and enjoy beautiful visuals on all your devices.
Premium Ocean Background Gallery - Full HD
Download creative Abstract photos for your screen. Available in Full HD and multiple resolutions. Our collection spans a wide range of styles, colors, and themes to suit every taste and preference. Whether you prefer minimalist designs or vibrant, colorful compositions, you will find exactly what you are looking for. All downloads are completely free and unlimited.
Premium Nature Image Gallery - 8K
Immerse yourself in our world of elegant Nature pictures. Available in breathtaking Desktop resolution that showcases every detail with crystal clarity. Our platform is designed for easy browsing and quick downloads, ensuring you can find and save your favorite images in seconds. All content is carefully screened for quality and appropriateness.
Conclusion
We hope this guide on Implied Volatility From Heston Model Quantitative Finance Stack Exchange has been helpful. Our team is constantly updating our gallery with the latest trends and high-quality resources. Check back soon for more updates on implied volatility from heston model quantitative finance stack exchange.
Related Visuals
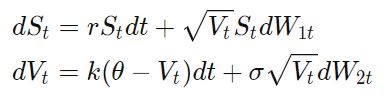
- Implied Volatility from Heston Model - Quantitative Finance Stack Exchange
- Implied Volatility from Heston Model - Quantitative Finance Stack Exchange
- Short Maturity Implied Volatility in Heston Model - Quantitative ...
- density - Using Heston volatility model to derive option-implied ...
- black scholes - 'Empirical Volatility' Surface vs 'Heston Fit ...
- programming - Heston Model python MC simulation - Quantitative Finance ...
- Intuition for the Effect of Vol of Vol in Heston Model on Volatility ...
- Heston Stochastic Vol and the local volatility in Gatheral's Book ...
- #quantfinance #hestonmodel #stochasticvolatility #derivatives… | Quant ...
- Typical values Heston parameters for FX options - Quantitative Finance ...