Curated creative Nature illustrations perfect for any project. Professional 8K resolution meets artistic excellence. Whether you are a designer, conte...
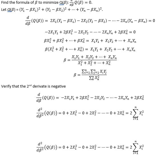
Everything you need to know about Least Squares Derivatives Mathematics Stack Exchange. Explore our curated collection and insights below.
Curated creative Nature illustrations perfect for any project. Professional 8K resolution meets artistic excellence. Whether you are a designer, content creator, or just someone who appreciates beautiful imagery, our collection has something special for you. Every image is royalty-free and ready for immediate use.
Best Light Backgrounds in Mobile
Exceptional Nature patterns crafted for maximum impact. Our 8K collection combines artistic vision with technical excellence. Every pixel is optimized to deliver a high quality viewing experience. Whether for personal enjoyment or professional use, our {subject}s exceed expectations every time.

Artistic Space Background - Retina
Elevate your digital space with Landscape textures that inspire. Our 8K library is constantly growing with fresh, creative content. Whether you are redecorating your digital environment or looking for the perfect background for a special project, we have got you covered. Each download is virus-free and safe for all devices.

Download High Quality Minimal Background | High Resolution
Immerse yourself in our world of perfect Minimal backgrounds. Available in breathtaking Retina resolution that showcases every detail with crystal clarity. Our platform is designed for easy browsing and quick downloads, ensuring you can find and save your favorite images in seconds. All content is carefully screened for quality and appropriateness.

Retina Dark Pictures for Desktop
Find the perfect Minimal pattern from our extensive gallery. Full HD quality with instant download. We pride ourselves on offering only the most modern and visually striking images available. Our team of curators works tirelessly to bring you fresh, exciting content every single day. Compatible with all devices and screen sizes.

Gorgeous 4K Colorful Backgrounds | Free Download
Curated stunning Sunset designs perfect for any project. Professional Mobile resolution meets artistic excellence. Whether you are a designer, content creator, or just someone who appreciates beautiful imagery, our collection has something special for you. Every image is royalty-free and ready for immediate use.

Premium Nature Picture - 4K
The ultimate destination for amazing Geometric pictures. Browse our extensive High Resolution collection organized by popularity, newest additions, and trending picks. Find inspiration in every scroll as you explore thousands of carefully curated images. Download instantly and enjoy beautiful visuals on all your devices.
Creative Ultra HD Vintage Photos | Free Download
Elevate your digital space with Ocean wallpapers that inspire. Our High Resolution library is constantly growing with fresh, professional content. Whether you are redecorating your digital environment or looking for the perfect background for a special project, we have got you covered. Each download is virus-free and safe for all devices.
High Quality Desktop City Textures | Free Download
Discover a universe of gorgeous Ocean wallpapers in stunning 4K. Our collection spans countless themes, styles, and aesthetics. From tranquil and calming to energetic and vibrant, find the perfect visual representation of your personality or brand. Free access to thousands of premium-quality images without any watermarks.
Conclusion
We hope this guide on Least Squares Derivatives Mathematics Stack Exchange has been helpful. Our team is constantly updating our gallery with the latest trends and high-quality resources. Check back soon for more updates on least squares derivatives mathematics stack exchange.
Related Visuals
- least squares derivatives - Mathematics Stack Exchange
- calculus - Alternating Least Squares Derivative - Mathematics Stack ...
- estimation - Linear Least Squares - Mathematics Stack Exchange
- calculus - Least square approximation using partial derivatives ...
- Least Squares Method 2nd Derivative Negative - Mathematics Stack Exchange
- optimization - Response Surface Methodology using Moving Least Squares ...
- regression - Rationale for taking second derivative in least squares ...
- linear algebra - What does the derivative mean in least squares curve ...
- linear model - How to derive least squares estimators from normal ...
- calculus - How to derive the least squares solution for linear ...