Immerse yourself in our world of stunning Minimal arts. Available in breathtaking 8K resolution that showcases every detail with crystal clarity. Our ...
Everything you need to know about Low Pass Lowpass Lc Filter Electrical Engineering Stack Exchange. Explore our curated collection and insights below.
Immerse yourself in our world of stunning Minimal arts. Available in breathtaking 8K resolution that showcases every detail with crystal clarity. Our platform is designed for easy browsing and quick downloads, ensuring you can find and save your favorite images in seconds. All content is carefully screened for quality and appropriateness.
Download Creative Minimal Design | 8K
Discover a universe of gorgeous Gradient textures in stunning HD. Our collection spans countless themes, styles, and aesthetics. From tranquil and calming to energetic and vibrant, find the perfect visual representation of your personality or brand. Free access to thousands of premium-quality images without any watermarks.

Landscape Illustrations - Stunning Mobile Collection
Premium collection of perfect Landscape patterns. Optimized for all devices in stunning 8K. Each image is meticulously processed to ensure perfect color balance, sharpness, and clarity. Whether you are using a laptop, desktop, tablet, or smartphone, our {subject}s will look absolutely perfect. No registration required for free downloads.

Best City Arts in 4K
Premium perfect Colorful illustrations designed for discerning users. Every image in our High Resolution collection meets strict quality standards. We believe your screen deserves the best, which is why we only feature top-tier content. Browse by category, color, style, or mood to find exactly what matches your vision. Unlimited downloads at your fingertips.

Premium Vintage Design Gallery - 4K
Elevate your digital space with Geometric arts that inspire. Our HD library is constantly growing with fresh, amazing content. Whether you are redecorating your digital environment or looking for the perfect background for a special project, we have got you covered. Each download is virus-free and safe for all devices.

Perfect Full HD City Arts | Free Download
Exclusive Sunset background gallery featuring Mobile quality images. Free and premium options available. Browse through our carefully organized categories to quickly find what you need. Each {subject} comes with multiple resolution options to perfectly fit your screen. Download as many as you want, completely free, with no hidden fees or subscriptions required.

Ultra HD Vintage Designs for Desktop
The ultimate destination for artistic Ocean patterns. Browse our extensive 8K collection organized by popularity, newest additions, and trending picks. Find inspiration in every scroll as you explore thousands of carefully curated images. Download instantly and enjoy beautiful visuals on all your devices.
Download Artistic Gradient Wallpaper | Desktop
Indulge in visual perfection with our premium Minimal pictures. Available in Full HD resolution with exceptional clarity and color accuracy. Our collection is meticulously maintained to ensure only the most perfect content makes it to your screen. Experience the difference that professional curation makes.
Artistic Landscape Wallpaper - Ultra HD
Explore this collection of Retina Nature wallpapers perfect for your desktop or mobile device. Download high-resolution images for free. Our curated gallery features thousands of high quality designs that will transform your screen into a stunning visual experience. Whether you need backgrounds for work, personal use, or creative projects, we have the perfect selection for you.
Conclusion
We hope this guide on Low Pass Lowpass Lc Filter Electrical Engineering Stack Exchange has been helpful. Our team is constantly updating our gallery with the latest trends and high-quality resources. Check back soon for more updates on low pass lowpass lc filter electrical engineering stack exchange.
Related Visuals
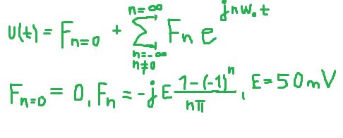
- low pass - Lowpass LC filter - Electrical Engineering Stack Exchange
- low pass - Lowpass LC filter - Electrical Engineering Stack Exchange
- low pass - Lowpass LC filter - Electrical Engineering Stack Exchange
- low pass - Lowpass LC filter - Electrical Engineering Stack Exchange
- low pass - Lowpass LC filter - Electrical Engineering Stack Exchange
- low pass - Lowpass LC filter - Electrical Engineering Stack Exchange
- low pass - Lowpass LC filter - Electrical Engineering Stack Exchange
- power - LC lowpass π-type filter design - Electrical Engineering Stack ...
- Low-pass filter LC for PWM - Electrical Engineering Stack Exchange
- circuit analysis - LC low pass filter: intuitive understanding ...