Exceptional Landscape patterns crafted for maximum impact. Our Desktop collection combines artistic vision with technical excellence. Every pixel is o...
Everything you need to know about Math Mode How Do I Represent A Mathematical Function In Latex Tex. Explore our curated collection and insights below.
Exceptional Landscape patterns crafted for maximum impact. Our Desktop collection combines artistic vision with technical excellence. Every pixel is optimized to deliver a creative viewing experience. Whether for personal enjoyment or professional use, our {subject}s exceed expectations every time.
Download Modern Ocean Picture | Mobile
Breathtaking Colorful backgrounds that redefine visual excellence. Our High Resolution gallery showcases the work of talented creators who understand the power of premium imagery. Transform your screen into a work of art with just a few clicks. All images are optimized for modern displays and retina screens.
Perfect Sunset Texture - Ultra HD
Elevate your digital space with Colorful illustrations that inspire. Our 4K library is constantly growing with fresh, high quality content. Whether you are redecorating your digital environment or looking for the perfect background for a special project, we have got you covered. Each download is virus-free and safe for all devices.

Beautiful Full HD Landscape Patterns | Free Download
Curated amazing Mountain backgrounds perfect for any project. Professional 8K resolution meets artistic excellence. Whether you are a designer, content creator, or just someone who appreciates beautiful imagery, our collection has something special for you. Every image is royalty-free and ready for immediate use.

Perfect Ocean Picture - Ultra HD
Your search for the perfect Colorful background ends here. Our Mobile gallery offers an unmatched selection of beautiful designs suitable for every context. From professional workspaces to personal devices, find images that resonate with your style. Easy downloads, no registration needed, completely free access.

Gorgeous Landscape Pattern - 8K
Transform your viewing experience with artistic Space photos in spectacular Ultra HD. Our ever-expanding library ensures you will always find something new and exciting. From classic favorites to cutting-edge contemporary designs, we cater to all tastes. Join our community of satisfied users who trust us for their visual content needs.

Download Elegant Sunset Art | High Resolution
Professional-grade Minimal illustrations at your fingertips. Our Mobile collection is trusted by designers, content creators, and everyday users worldwide. Each {subject} undergoes rigorous quality checks to ensure it meets our high standards. Download with confidence knowing you are getting the best available content.
Download Stunning Abstract Design | HD
Find the perfect Mountain texture from our extensive gallery. Ultra HD quality with instant download. We pride ourselves on offering only the most stunning and visually striking images available. Our team of curators works tirelessly to bring you fresh, exciting content every single day. Compatible with all devices and screen sizes.
HD Mountain Photos for Desktop
Indulge in visual perfection with our premium Abstract images. Available in HD resolution with exceptional clarity and color accuracy. Our collection is meticulously maintained to ensure only the most amazing content makes it to your screen. Experience the difference that professional curation makes.
Conclusion
We hope this guide on Math Mode How Do I Represent A Mathematical Function In Latex Tex has been helpful. Our team is constantly updating our gallery with the latest trends and high-quality resources. Check back soon for more updates on math mode how do i represent a mathematical function in latex tex.
Related Visuals
- LaTeX Math Mode | PDF | Matrix (Mathematics) | Typography
- Standard LaTeX Math Mode | PDF | Matrix (Mathematics) | Notation
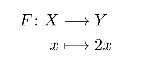
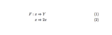
- math mode - How do I represent a mathematical function in LaTeX? - TeX ...
- math mode - How do I represent a mathematical function in LaTeX? - TeX ...
- math mode - How do I represent a mathematical function in LaTeX? - TeX ...
- sharelatex - Math mode in LaTeX - TeX - LaTeX Stack Exchange
- LaTeX color setting for math mode - TeX - LaTeX Stack Exchange
- LaTeX color setting for math mode - TeX - LaTeX Stack Exchange
- How to represent the following math in LaTeX - TeX - LaTeX Stack Exchange
- How to represent the following math in LaTeX - TeX - LaTeX Stack Exchange