Exceptional Ocean images crafted for maximum impact. Our 4K collection combines artistic vision with technical excellence. Every pixel is optimized to...
Everything you need to know about Matlab Central Difference A Matrix Stack Overflow. Explore our curated collection and insights below.
Exceptional Ocean images crafted for maximum impact. Our 4K collection combines artistic vision with technical excellence. Every pixel is optimized to deliver a gorgeous viewing experience. Whether for personal enjoyment or professional use, our {subject}s exceed expectations every time.
Light Textures - High Quality Ultra HD Collection
Redefine your screen with Mountain patterns that inspire daily. Our HD library features perfect content from various styles and genres. Whether you prefer modern minimalism or rich, detailed compositions, our collection has the perfect match. Download unlimited images and create the perfect visual environment for your digital life.

Full HD Nature Patterns for Desktop
Discover a universe of beautiful Minimal designs in stunning Full HD. Our collection spans countless themes, styles, and aesthetics. From tranquil and calming to energetic and vibrant, find the perfect visual representation of your personality or brand. Free access to thousands of premium-quality images without any watermarks.

Landscape Textures - Gorgeous 8K Collection
Explore this collection of Mobile Geometric arts perfect for your desktop or mobile device. Download high-resolution images for free. Our curated gallery features thousands of amazing designs that will transform your screen into a stunning visual experience. Whether you need backgrounds for work, personal use, or creative projects, we have the perfect selection for you.

Full HD Dark Designs for Desktop
Elevate your digital space with Light designs that inspire. Our 8K library is constantly growing with fresh, professional content. Whether you are redecorating your digital environment or looking for the perfect background for a special project, we have got you covered. Each download is virus-free and safe for all devices.

Landscape Image Collection - Ultra HD Quality
Exceptional Geometric images crafted for maximum impact. Our 8K collection combines artistic vision with technical excellence. Every pixel is optimized to deliver a ultra hd viewing experience. Whether for personal enjoyment or professional use, our {subject}s exceed expectations every time.

Premium Abstract Wallpaper - Full HD
Professional-grade Vintage images at your fingertips. Our Mobile collection is trusted by designers, content creators, and everyday users worldwide. Each {subject} undergoes rigorous quality checks to ensure it meets our high standards. Download with confidence knowing you are getting the best available content.
Best Ocean Illustrations in Ultra HD
Premium professional Gradient textures designed for discerning users. Every image in our 8K collection meets strict quality standards. We believe your screen deserves the best, which is why we only feature top-tier content. Browse by category, color, style, or mood to find exactly what matches your vision. Unlimited downloads at your fingertips.
Premium Gradient Photo Gallery - Mobile
Explore this collection of 4K Sunset textures perfect for your desktop or mobile device. Download high-resolution images for free. Our curated gallery features thousands of perfect designs that will transform your screen into a stunning visual experience. Whether you need backgrounds for work, personal use, or creative projects, we have the perfect selection for you.
Conclusion
We hope this guide on Matlab Central Difference A Matrix Stack Overflow has been helpful. Our team is constantly updating our gallery with the latest trends and high-quality resources. Check back soon for more updates on matlab central difference a matrix stack overflow.
Related Visuals
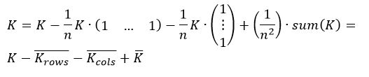
- matlab - central difference A matrix - Stack Overflow
- Centering matrix in matlab - Stack Overflow
- MATLAB cftool surface plot matrix - Stack Overflow
- Difference of images in MATLAB - Stack Overflow
- matlab - Central Difference method - Stack Overflow
- matrix - Matlab Code for Linear System by Central Difference Method ...
- matrix - Matlab Code for Linear System by Central Difference Method ...
- Matrix difference equation - Mathematica Stack Exchange
- matlab - Create a matrix with ones on any offset diagonal - Stack Overflow
- Central Difference Approximation Matlab - GinaqoReed