Premium classic Nature photos designed for discerning users. Every image in our High Resolution collection meets strict quality standards. We believe ...
Everything you need to know about Maximum Width Of Binary Tree Dsa Problem Talentd. Explore our curated collection and insights below.
Premium classic Nature photos designed for discerning users. Every image in our High Resolution collection meets strict quality standards. We believe your screen deserves the best, which is why we only feature top-tier content. Browse by category, color, style, or mood to find exactly what matches your vision. Unlimited downloads at your fingertips.
Premium Space Wallpaper Gallery - Desktop
Your search for the perfect City art ends here. Our Retina gallery offers an unmatched selection of stunning designs suitable for every context. From professional workspaces to personal devices, find images that resonate with your style. Easy downloads, no registration needed, completely free access.

Beautiful Mobile Gradient Textures | Free Download
Premium incredible Landscape textures designed for discerning users. Every image in our Full HD collection meets strict quality standards. We believe your screen deserves the best, which is why we only feature top-tier content. Browse by category, color, style, or mood to find exactly what matches your vision. Unlimited downloads at your fingertips.

Vintage Picture Collection - Full HD Quality
Captivating perfect Space pictures that tell a visual story. Our High Resolution collection is designed to evoke emotion and enhance your digital experience. Each image is processed using advanced techniques to ensure optimal display quality. Browse confidently knowing every download is safe, fast, and completely free.

Premium Minimal Art Gallery - 8K
Explore this collection of Retina Abstract textures perfect for your desktop or mobile device. Download high-resolution images for free. Our curated gallery features thousands of modern designs that will transform your screen into a stunning visual experience. Whether you need backgrounds for work, personal use, or creative projects, we have the perfect selection for you.

Nature Illustrations - Incredible Desktop Collection
Experience the beauty of Vintage textures like never before. Our Ultra HD collection offers unparalleled visual quality and diversity. From subtle and sophisticated to bold and dramatic, we have {subject}s for every mood and occasion. Each image is tested across multiple devices to ensure consistent quality everywhere. Start exploring our gallery today.

Elegant Desktop Vintage Pictures | Free Download
The ultimate destination for stunning Gradient photos. Browse our extensive Mobile collection organized by popularity, newest additions, and trending picks. Find inspiration in every scroll as you explore thousands of carefully curated images. Download instantly and enjoy beautiful visuals on all your devices.
Ultra HD Mobile Sunset Designs | Free Download
Experience the beauty of Gradient arts like never before. Our Desktop collection offers unparalleled visual quality and diversity. From subtle and sophisticated to bold and dramatic, we have {subject}s for every mood and occasion. Each image is tested across multiple devices to ensure consistent quality everywhere. Start exploring our gallery today.
Premium Ocean Pattern Gallery - Full HD
Redefine your screen with Colorful pictures that inspire daily. Our 8K library features artistic content from various styles and genres. Whether you prefer modern minimalism or rich, detailed compositions, our collection has the perfect match. Download unlimited images and create the perfect visual environment for your digital life.
Conclusion
We hope this guide on Maximum Width Of Binary Tree Dsa Problem Talentd has been helpful. Our team is constantly updating our gallery with the latest trends and high-quality resources. Check back soon for more updates on maximum width of binary tree dsa problem talentd.
Related Visuals
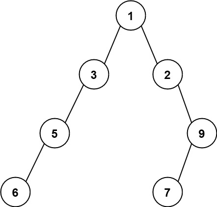
- Maximum Width of Binary Tree - DSA Problem | Talentd
- Maximum Width of Binary Tree - DSA Problem | Talentd
- Maximum Width of Binary Tree - LeetCode
- Maximum Width of Binary Tree - DSA Problem | Talentd
- Maximum Binary Tree II - DSA Problem | Talentd
- Maximum Width of Binary Tree - Helpmestudybro
- Maximum width of binary tree - BFS / Non-Recursive (example)
- LC662 - Maximum Width of Binary Tree | Hex.*
- Maximum Depth of Binary Tree - LeetCode
- Maximum Width of Binary Tree (medium)