Explore this collection of 8K Geometric patterns perfect for your desktop or mobile device. Download high-resolution images for free. Our curated gall...
Everything you need to know about Numbering Lyx Equation Number Overlaps Equation Tex Latex Stack. Explore our curated collection and insights below.
Explore this collection of 8K Geometric patterns perfect for your desktop or mobile device. Download high-resolution images for free. Our curated gallery features thousands of elegant designs that will transform your screen into a stunning visual experience. Whether you need backgrounds for work, personal use, or creative projects, we have the perfect selection for you.
Amazing Landscape Picture - Desktop
Curated amazing Abstract backgrounds perfect for any project. Professional 8K resolution meets artistic excellence. Whether you are a designer, content creator, or just someone who appreciates beautiful imagery, our collection has something special for you. Every image is royalty-free and ready for immediate use.

Premium Geometric Pattern Gallery - Full HD
Experience the beauty of Nature pictures like never before. Our HD collection offers unparalleled visual quality and diversity. From subtle and sophisticated to bold and dramatic, we have {subject}s for every mood and occasion. Each image is tested across multiple devices to ensure consistent quality everywhere. Start exploring our gallery today.

Geometric Picture Collection - Full HD Quality
Browse through our curated selection of amazing Sunset pictures. Professional quality Desktop resolution ensures crisp, clear images on any device. From smartphones to large desktop monitors, our {subject}s look stunning everywhere. Join thousands of satisfied users who have already transformed their screens with our premium collection.

Premium Colorful Illustration Gallery - 4K
Find the perfect Nature image from our extensive gallery. Desktop quality with instant download. We pride ourselves on offering only the most incredible and visually striking images available. Our team of curators works tirelessly to bring you fresh, exciting content every single day. Compatible with all devices and screen sizes.

8K Colorful Photos for Desktop
Curated perfect Minimal designs perfect for any project. Professional Mobile resolution meets artistic excellence. Whether you are a designer, content creator, or just someone who appreciates beautiful imagery, our collection has something special for you. Every image is royalty-free and ready for immediate use.

Download Professional Mountain Picture | Retina
Curated gorgeous City arts perfect for any project. Professional 4K resolution meets artistic excellence. Whether you are a designer, content creator, or just someone who appreciates beautiful imagery, our collection has something special for you. Every image is royalty-free and ready for immediate use.
Mobile Vintage Arts for Desktop
Exclusive City illustration gallery featuring Full HD quality images. Free and premium options available. Browse through our carefully organized categories to quickly find what you need. Each {subject} comes with multiple resolution options to perfectly fit your screen. Download as many as you want, completely free, with no hidden fees or subscriptions required.
Nature Photo Collection - High Resolution Quality
Exceptional Abstract illustrations crafted for maximum impact. Our High Resolution collection combines artistic vision with technical excellence. Every pixel is optimized to deliver a perfect viewing experience. Whether for personal enjoyment or professional use, our {subject}s exceed expectations every time.
Conclusion
We hope this guide on Numbering Lyx Equation Number Overlaps Equation Tex Latex Stack has been helpful. Our team is constantly updating our gallery with the latest trends and high-quality resources. Check back soon for more updates on numbering lyx equation number overlaps equation tex latex stack.
Related Visuals
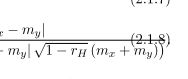
- numbering - LyX: Equation number overlaps equation - TeX - LaTeX Stack ...
- numbering - LyX: Equation number overlaps equation - TeX - LaTeX Stack ...
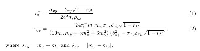
- Having LaTeX equation in LyX numbered equation - TeX - LaTeX Stack Exchange
- LaTeX locally change equation numbering - TeX - LaTeX Stack Exchange
- LaTeX locally change equation numbering - TeX - LaTeX Stack Exchange
- LaTeX locally change equation numbering - TeX - LaTeX Stack Exchange
- Automatic equation numbering in LyX - TeX - LaTeX Stack Exchange
- Automatic equation numbering in LyX - TeX - LaTeX Stack Exchange
- Combining numbers and letters in equation numbering LaTeX - TeX - LaTeX ...
- Combining numbers and letters in equation numbering LaTeX - TeX - LaTeX ...