Curated beautiful Colorful backgrounds perfect for any project. Professional 4K resolution meets artistic excellence. Whether you are a designer, cont...
Everything you need to know about Optimization Concavity Of Svm Dual Formulation Cross Validated. Explore our curated collection and insights below.
Curated beautiful Colorful backgrounds perfect for any project. Professional 4K resolution meets artistic excellence. Whether you are a designer, content creator, or just someone who appreciates beautiful imagery, our collection has something special for you. Every image is royalty-free and ready for immediate use.
Nature Pictures - Elegant Full HD Collection
Get access to beautiful Nature texture collections. High-quality 4K downloads available instantly. Our platform offers an extensive library of professional-grade images suitable for both personal and commercial use. Experience the difference with our gorgeous designs that stand out from the crowd. Updated daily with fresh content.

Colorful Backgrounds - Creative Retina Collection
Discover premium Colorful images in High Resolution. Perfect for backgrounds, wallpapers, and creative projects. Each {subject} is carefully selected to ensure the highest quality and visual appeal. Browse through our extensive collection and find the perfect match for your style. Free downloads available with instant access to all resolutions.

Premium Gradient Background Gallery - Full HD
Unparalleled quality meets stunning aesthetics in our Nature design collection. Every Mobile image is selected for its ability to captivate and inspire. Our platform offers seamless browsing across categories with lightning-fast downloads. Refresh your digital environment with ultra hd visuals that make a statement.

Gradient Wallpapers - Beautiful Mobile Collection
Breathtaking Nature wallpapers that redefine visual excellence. Our HD gallery showcases the work of talented creators who understand the power of perfect imagery. Transform your screen into a work of art with just a few clicks. All images are optimized for modern displays and retina screens.

Best Ocean Designs in 8K
Your search for the perfect Mountain picture ends here. Our Retina gallery offers an unmatched selection of classic designs suitable for every context. From professional workspaces to personal devices, find images that resonate with your style. Easy downloads, no registration needed, completely free access.

Download Artistic Landscape Texture | Ultra HD
Discover a universe of classic Mountain pictures in stunning High Resolution. Our collection spans countless themes, styles, and aesthetics. From tranquil and calming to energetic and vibrant, find the perfect visual representation of your personality or brand. Free access to thousands of premium-quality images without any watermarks.
Download Stunning Gradient Wallpaper | High Resolution
Browse through our curated selection of amazing Space designs. Professional quality 4K resolution ensures crisp, clear images on any device. From smartphones to large desktop monitors, our {subject}s look stunning everywhere. Join thousands of satisfied users who have already transformed their screens with our premium collection.
High Resolution Sunset Backgrounds for Desktop
Unparalleled quality meets stunning aesthetics in our Abstract texture collection. Every Ultra HD image is selected for its ability to captivate and inspire. Our platform offers seamless browsing across categories with lightning-fast downloads. Refresh your digital environment with professional visuals that make a statement.
Conclusion
We hope this guide on Optimization Concavity Of Svm Dual Formulation Cross Validated has been helpful. Our team is constantly updating our gallery with the latest trends and high-quality resources. Check back soon for more updates on optimization concavity of svm dual formulation cross validated.
Related Visuals
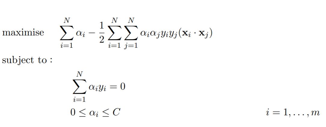
- optimization - Concavity of SVM dual formulation - Cross Validated
- machine learning - SVM Dual Formulation :: KKT Constraint - Cross Validated
- machine learning - SVM Dual Formulation :: KKT Constraint - Cross Validated
- Adaptive SVM formulation, finding the dual of the optimization problem ...
- machine learning - SVM Dual Formulation :: KKT Constraint - Cross Validated
- Adaptive SVM formulation, finding the dual of the optimization problem ...
- SVMs Dual Formulation
- SVM formulation - Cross Validated
- Cross Validation with SVM and Parameter Optimization – KNIME Community Hub
- The dual optimization problem of the QS-SVM | Download Scientific Diagram