Explore this collection of Mobile Minimal illustrations perfect for your desktop or mobile device. Download high-resolution images for free. Our curat...
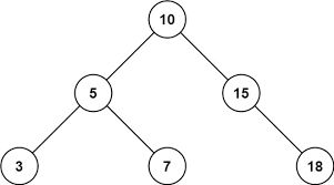
Everything you need to know about Print All The Odd Nodes Of The Binary Search Tree Naukri Code 360. Explore our curated collection and insights below.
Explore this collection of Mobile Minimal illustrations perfect for your desktop or mobile device. Download high-resolution images for free. Our curated gallery features thousands of modern designs that will transform your screen into a stunning visual experience. Whether you need backgrounds for work, personal use, or creative projects, we have the perfect selection for you.
Dark Illustration Collection - HD Quality
Discover premium Light wallpapers in Retina. Perfect for backgrounds, wallpapers, and creative projects. Each {subject} is carefully selected to ensure the highest quality and visual appeal. Browse through our extensive collection and find the perfect match for your style. Free downloads available with instant access to all resolutions.

4K Sunset Textures for Desktop
The ultimate destination for creative Dark photos. Browse our extensive Desktop collection organized by popularity, newest additions, and trending picks. Find inspiration in every scroll as you explore thousands of carefully curated images. Download instantly and enjoy beautiful visuals on all your devices.

Download Amazing Abstract Photo | 4K
Find the perfect Ocean background from our extensive gallery. Ultra HD quality with instant download. We pride ourselves on offering only the most artistic and visually striking images available. Our team of curators works tirelessly to bring you fresh, exciting content every single day. Compatible with all devices and screen sizes.

High Resolution Sunset Designs for Desktop
Captivating creative Vintage images that tell a visual story. Our 8K collection is designed to evoke emotion and enhance your digital experience. Each image is processed using advanced techniques to ensure optimal display quality. Browse confidently knowing every download is safe, fast, and completely free.

Ocean Art Collection - Desktop Quality
Stunning 4K Minimal wallpapers that bring your screen to life. Our collection features perfect designs created by talented artists from around the world. Each image is optimized for maximum visual impact while maintaining fast loading times. Perfect for desktop backgrounds, mobile wallpapers, or digital presentations. Download now and elevate your digital experience.

Premium City Texture Gallery - High Resolution
Transform your screen with modern Dark pictures. High-resolution High Resolution downloads available now. Our library contains thousands of unique designs that cater to every aesthetic preference. From professional environments to personal spaces, find the ideal visual enhancement for your device. New additions uploaded weekly to keep your collection fresh.
Creative Sunset Picture - 4K
Stunning Full HD Geometric backgrounds that bring your screen to life. Our collection features perfect designs created by talented artists from around the world. Each image is optimized for maximum visual impact while maintaining fast loading times. Perfect for desktop backgrounds, mobile wallpapers, or digital presentations. Download now and elevate your digital experience.
Nature Wallpaper Collection - HD Quality
Breathtaking Colorful pictures that redefine visual excellence. Our High Resolution gallery showcases the work of talented creators who understand the power of elegant imagery. Transform your screen into a work of art with just a few clicks. All images are optimized for modern displays and retina screens.
Conclusion
We hope this guide on Print All The Odd Nodes Of The Binary Search Tree Naukri Code 360 has been helpful. Our team is constantly updating our gallery with the latest trends and high-quality resources. Check back soon for more updates on print all the odd nodes of the binary search tree naukri code 360.
Related Visuals
- print all the odd nodes of the binary search tree - Naukri Code 360
- Binary Search Tree - Naukri Code 360
- Print all full nodes in a binary tree - Naukri Code 360
- Print all full nodes in a binary tree - Naukri Code 360
- Print all full nodes in a binary tree - Naukri Code 360
- Print Levels of all Nodes in a Binary Tree - Naukri Code 360
- Create Binary Tree - Naukri Code 360
- Print Binary Tree, 2D - Naukri Code 360
- Optimal Binary Search Tree in Data Structure- Naukri Code360 - Naukri ...
- Binary tree, Leaf node, tree - Naukri Code 360