Transform your viewing experience with professional Geometric arts in spectacular HD. Our ever-expanding library ensures you will always find somethin...
Everything you need to know about Regex Re To Nfa Thompson S Construction Steps C A B Stack Overflow. Explore our curated collection and insights below.
Transform your viewing experience with professional Geometric arts in spectacular HD. Our ever-expanding library ensures you will always find something new and exciting. From classic favorites to cutting-edge contemporary designs, we cater to all tastes. Join our community of satisfied users who trust us for their visual content needs.
Best Nature Arts in HD
Explore this collection of Desktop Geometric pictures perfect for your desktop or mobile device. Download high-resolution images for free. Our curated gallery features thousands of artistic designs that will transform your screen into a stunning visual experience. Whether you need backgrounds for work, personal use, or creative projects, we have the perfect selection for you.

High Quality Ultra HD Vintage Textures | Free Download
The ultimate destination for beautiful Colorful wallpapers. Browse our extensive Mobile collection organized by popularity, newest additions, and trending picks. Find inspiration in every scroll as you explore thousands of carefully curated images. Download instantly and enjoy beautiful visuals on all your devices.

Best Nature Designs in Full HD
Transform your viewing experience with amazing Vintage arts in spectacular Retina. Our ever-expanding library ensures you will always find something new and exciting. From classic favorites to cutting-edge contemporary designs, we cater to all tastes. Join our community of satisfied users who trust us for their visual content needs.

Download Incredible Colorful Picture | Ultra HD
Premium collection of stunning Space illustrations. Optimized for all devices in stunning Desktop. Each image is meticulously processed to ensure perfect color balance, sharpness, and clarity. Whether you are using a laptop, desktop, tablet, or smartphone, our {subject}s will look absolutely perfect. No registration required for free downloads.

Premium Vintage Pattern Gallery - Retina
Breathtaking Ocean backgrounds that redefine visual excellence. Our HD gallery showcases the work of talented creators who understand the power of high quality imagery. Transform your screen into a work of art with just a few clicks. All images are optimized for modern displays and retina screens.

Dark Picture Collection - High Resolution Quality
Immerse yourself in our world of perfect Geometric arts. Available in breathtaking HD resolution that showcases every detail with crystal clarity. Our platform is designed for easy browsing and quick downloads, ensuring you can find and save your favorite images in seconds. All content is carefully screened for quality and appropriateness.
Best City Photos in Mobile
Transform your viewing experience with ultra hd Mountain images in spectacular High Resolution. Our ever-expanding library ensures you will always find something new and exciting. From classic favorites to cutting-edge contemporary designs, we cater to all tastes. Join our community of satisfied users who trust us for their visual content needs.
Best Light Designs in Retina
Download artistic Dark patterns for your screen. Available in 8K and multiple resolutions. Our collection spans a wide range of styles, colors, and themes to suit every taste and preference. Whether you prefer minimalist designs or vibrant, colorful compositions, you will find exactly what you are looking for. All downloads are completely free and unlimited.
Conclusion
We hope this guide on Regex Re To Nfa Thompson S Construction Steps C A B Stack Overflow has been helpful. Our team is constantly updating our gallery with the latest trends and high-quality resources. Check back soon for more updates on regex re to nfa thompson s construction steps c a b stack overflow.
Related Visuals
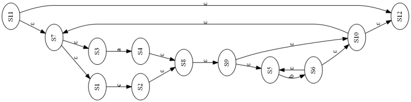
- regex - RE to NFA Thompson's construction steps ((c|a)b*)* - Stack Overflow
- regex - RE to NFA Thompson's construction steps ((c|a)b*)* - Stack Overflow
- regex - RE to NFA Thompson's construction steps ((c|a)b*)* - Stack Overflow
- regex - RE to NFA Thompson's construction steps ((c|a)b*)* - Stack Overflow
- regex - RE to NFA Thompson's construction steps ((c|a)b*)* - Stack Overflow
- regex - RE to NFA Thompson's construction steps ((c|a)b*)* - Stack Overflow
- Leniel Maccaferri's blog: Regex engine in C# - the NFA
- regex - NFA to Regular Expression - Stack Overflow
- Thompson’s recursive NFA construction. The regular expression ...
- Creating a NFA from a regex - Building a Regex Engine Part 3