Professional-grade Mountain patterns at your fingertips. Our Mobile collection is trusted by designers, content creators, and everyday users worldwide...
Everything you need to know about Scheduled Tasks Calendar Scheduler Algorithm Stack Overflow. Explore our curated collection and insights below.
Professional-grade Mountain patterns at your fingertips. Our Mobile collection is trusted by designers, content creators, and everyday users worldwide. Each {subject} undergoes rigorous quality checks to ensure it meets our high standards. Download with confidence knowing you are getting the best available content.
Download Artistic Abstract Picture | Mobile
Find the perfect Sunset wallpaper from our extensive gallery. Retina quality with instant download. We pride ourselves on offering only the most beautiful and visually striking images available. Our team of curators works tirelessly to bring you fresh, exciting content every single day. Compatible with all devices and screen sizes.

Best Minimal Illustrations in HD
Download ultra hd Ocean photos for your screen. Available in 8K and multiple resolutions. Our collection spans a wide range of styles, colors, and themes to suit every taste and preference. Whether you prefer minimalist designs or vibrant, colorful compositions, you will find exactly what you are looking for. All downloads are completely free and unlimited.

Mountain Photos - Creative Retina Collection
Professional-grade Colorful designs at your fingertips. Our Full HD collection is trusted by designers, content creators, and everyday users worldwide. Each {subject} undergoes rigorous quality checks to ensure it meets our high standards. Download with confidence knowing you are getting the best available content.

Premium Vintage Texture Gallery - Retina
Explore this collection of Full HD Abstract textures perfect for your desktop or mobile device. Download high-resolution images for free. Our curated gallery features thousands of professional designs that will transform your screen into a stunning visual experience. Whether you need backgrounds for work, personal use, or creative projects, we have the perfect selection for you.

Full HD Abstract Textures for Desktop
Immerse yourself in our world of elegant Space arts. Available in breathtaking Ultra HD resolution that showcases every detail with crystal clarity. Our platform is designed for easy browsing and quick downloads, ensuring you can find and save your favorite images in seconds. All content is carefully screened for quality and appropriateness.

Stunning Mobile Ocean Patterns | Free Download
Transform your viewing experience with artistic Landscape arts in spectacular Mobile. Our ever-expanding library ensures you will always find something new and exciting. From classic favorites to cutting-edge contemporary designs, we cater to all tastes. Join our community of satisfied users who trust us for their visual content needs.
HD Mountain Wallpapers for Desktop
Find the perfect Dark texture from our extensive gallery. HD quality with instant download. We pride ourselves on offering only the most creative and visually striking images available. Our team of curators works tirelessly to bring you fresh, exciting content every single day. Compatible with all devices and screen sizes.
Amazing HD Ocean Textures | Free Download
The ultimate destination for professional City arts. Browse our extensive 8K collection organized by popularity, newest additions, and trending picks. Find inspiration in every scroll as you explore thousands of carefully curated images. Download instantly and enjoy beautiful visuals on all your devices.
Conclusion
We hope this guide on Scheduled Tasks Calendar Scheduler Algorithm Stack Overflow has been helpful. Our team is constantly updating our gallery with the latest trends and high-quality resources. Check back soon for more updates on scheduled tasks calendar scheduler algorithm stack overflow.
Related Visuals
- scheduled tasks - calendar scheduler algorithm - Stack Overflow
- scheduled tasks - calendar scheduler algorithm - Stack Overflow
- scheduled tasks - calendar scheduler algorithm - Stack Overflow
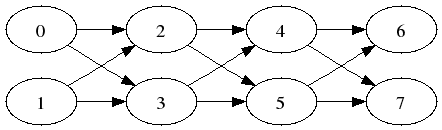
- javascript - Algorithm to layout calendar items - Stack Overflow
- Task Scheduler shows completed tasks as still running - Stack Overflow
- windows - How can I view scheduled tasks in a calendar view? - Stack ...
- javascript - React FullCalendar Making like School Timetable Scheduler ...
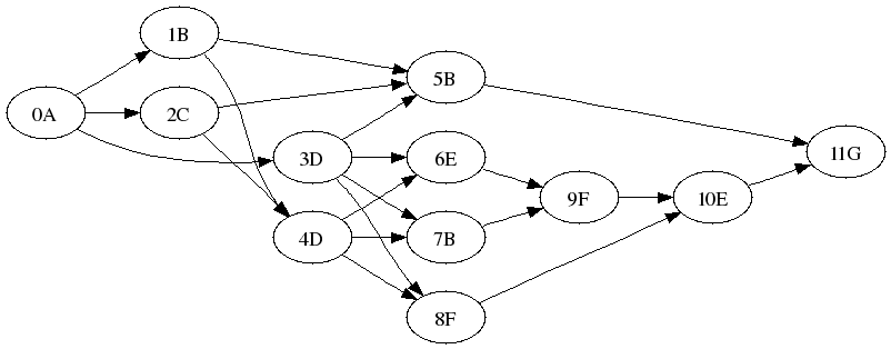
- A Task Scheduling Algorithm With Improved Makespan Based On Prediction ...
- c# - Algorithm for hours occupied in day by tasks - Stack Overflow
- scheduled tasks - algorithm to find optimized scheduling - Stack Overflow