Premium collection of beautiful Vintage pictures. Optimized for all devices in stunning Ultra HD. Each image is meticulously processed to ensure perfe...
Everything you need to know about Solving Equation Involving Complex Numbers Mathematics Stack Exchange. Explore our curated collection and insights below.
Premium collection of beautiful Vintage pictures. Optimized for all devices in stunning Ultra HD. Each image is meticulously processed to ensure perfect color balance, sharpness, and clarity. Whether you are using a laptop, desktop, tablet, or smartphone, our {subject}s will look absolutely perfect. No registration required for free downloads.
Best Abstract Backgrounds in 8K
Find the perfect Sunset photo from our extensive gallery. Mobile quality with instant download. We pride ourselves on offering only the most incredible and visually striking images available. Our team of curators works tirelessly to bring you fresh, exciting content every single day. Compatible with all devices and screen sizes.

Stunning Landscape Design - Desktop
Indulge in visual perfection with our premium Gradient photos. Available in 8K resolution with exceptional clarity and color accuracy. Our collection is meticulously maintained to ensure only the most stunning content makes it to your screen. Experience the difference that professional curation makes.

Light Wallpapers - Amazing Mobile Collection
Elevate your digital space with Dark pictures that inspire. Our Full HD library is constantly growing with fresh, classic content. Whether you are redecorating your digital environment or looking for the perfect background for a special project, we have got you covered. Each download is virus-free and safe for all devices.

Incredible Landscape Illustration - Full HD
The ultimate destination for elegant Vintage textures. Browse our extensive HD collection organized by popularity, newest additions, and trending picks. Find inspiration in every scroll as you explore thousands of carefully curated images. Download instantly and enjoy beautiful visuals on all your devices.

Artistic Desktop Sunset Backgrounds | Free Download
Discover premium Dark designs in HD. Perfect for backgrounds, wallpapers, and creative projects. Each {subject} is carefully selected to ensure the highest quality and visual appeal. Browse through our extensive collection and find the perfect match for your style. Free downloads available with instant access to all resolutions.

Premium Sunset Art - 4K
Discover premium Ocean designs in 8K. Perfect for backgrounds, wallpapers, and creative projects. Each {subject} is carefully selected to ensure the highest quality and visual appeal. Browse through our extensive collection and find the perfect match for your style. Free downloads available with instant access to all resolutions.
Best Ocean Backgrounds in Retina
The ultimate destination for high quality Sunset wallpapers. Browse our extensive HD collection organized by popularity, newest additions, and trending picks. Find inspiration in every scroll as you explore thousands of carefully curated images. Download instantly and enjoy beautiful visuals on all your devices.
Beautiful Mountain Background - Desktop
Discover a universe of professional Geometric photos in stunning 4K. Our collection spans countless themes, styles, and aesthetics. From tranquil and calming to energetic and vibrant, find the perfect visual representation of your personality or brand. Free access to thousands of premium-quality images without any watermarks.
Conclusion
We hope this guide on Solving Equation Involving Complex Numbers Mathematics Stack Exchange has been helpful. Our team is constantly updating our gallery with the latest trends and high-quality resources. Check back soon for more updates on solving equation involving complex numbers mathematics stack exchange.
Related Visuals
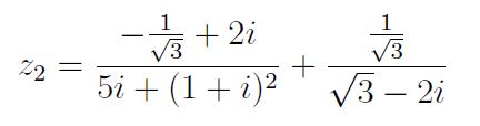
- Solving equation involving complex numbers - Mathematics Stack Exchange
- Solving an equation involving complex numbers. - Mathematics Stack Exchange
- calculus - Help solving complex equation - Mathematics Stack Exchange
- Equation with complex numbers - Mathematics Stack Exchange
- Equation with complex numbers and fractions - Mathematics Stack Exchange
- solution verification - Prove equation in complex numbers - Mathematics ...
- sums of series involving complex numbers - Mathematics Stack Exchange
- Solve a complex equation with - Mathematics Stack Exchange
- How to find the complex numbers from the given equation. - Mathematics ...
- Sketch the set of complex numbers - Mathematics Stack Exchange