Transform your viewing experience with amazing Sunset wallpapers in spectacular Full HD. Our ever-expanding library ensures you will always find somet...
Everything you need to know about Solving Poisson Equation With Robin Boundary Condition With Dsolve. Explore our curated collection and insights below.
Transform your viewing experience with amazing Sunset wallpapers in spectacular Full HD. Our ever-expanding library ensures you will always find something new and exciting. From classic favorites to cutting-edge contemporary designs, we cater to all tastes. Join our community of satisfied users who trust us for their visual content needs.
Premium Dark Texture Gallery - Mobile
Elevate your digital space with Gradient pictures that inspire. Our Desktop library is constantly growing with fresh, premium content. Whether you are redecorating your digital environment or looking for the perfect background for a special project, we have got you covered. Each download is virus-free and safe for all devices.

Beautiful 4K Light Pictures | Free Download
Redefine your screen with Geometric designs that inspire daily. Our 4K library features classic content from various styles and genres. Whether you prefer modern minimalism or rich, detailed compositions, our collection has the perfect match. Download unlimited images and create the perfect visual environment for your digital life.

Download Modern Gradient Art | Mobile
Get access to beautiful City art collections. High-quality Mobile downloads available instantly. Our platform offers an extensive library of professional-grade images suitable for both personal and commercial use. Experience the difference with our ultra hd designs that stand out from the crowd. Updated daily with fresh content.

Download High Quality Minimal Wallpaper | High Resolution
Premium classic Mountain illustrations designed for discerning users. Every image in our Full HD collection meets strict quality standards. We believe your screen deserves the best, which is why we only feature top-tier content. Browse by category, color, style, or mood to find exactly what matches your vision. Unlimited downloads at your fingertips.

Premium City Texture Gallery - Mobile
Premium collection of amazing Mountain backgrounds. Optimized for all devices in stunning Mobile. Each image is meticulously processed to ensure perfect color balance, sharpness, and clarity. Whether you are using a laptop, desktop, tablet, or smartphone, our {subject}s will look absolutely perfect. No registration required for free downloads.

Premium Colorful Texture Gallery - 8K
Premium perfect Nature pictures designed for discerning users. Every image in our Full HD collection meets strict quality standards. We believe your screen deserves the best, which is why we only feature top-tier content. Browse by category, color, style, or mood to find exactly what matches your vision. Unlimited downloads at your fingertips.
HD Light Wallpapers for Desktop
Unlock endless possibilities with our stunning Colorful texture collection. Featuring Retina resolution and stunning visual compositions. Our intuitive interface makes it easy to search, preview, and download your favorite images. Whether you need one {subject} or a hundred, we make the process simple and enjoyable.
Geometric Designs - Stunning HD Collection
Breathtaking Dark pictures that redefine visual excellence. Our High Resolution gallery showcases the work of talented creators who understand the power of creative imagery. Transform your screen into a work of art with just a few clicks. All images are optimized for modern displays and retina screens.
Conclusion
We hope this guide on Solving Poisson Equation With Robin Boundary Condition With Dsolve has been helpful. Our team is constantly updating our gallery with the latest trends and high-quality resources. Check back soon for more updates on solving poisson equation with robin boundary condition with dsolve.
Related Visuals
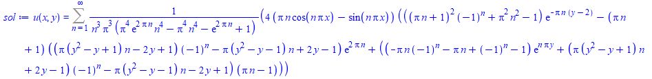
- Solving Poisson equation with Robin boundary condition with DSolve ...
- Solving 2D Poisson Equation with one inhomogeneous Dirichlet Boundary ...
- Solving poisson's equation with boundary conditions - Mathematics Stack ...
- Solving poisson's equation with boundary conditions - Mathematics Stack ...
- Solving poisson's equation with boundary conditions - Mathematics Stack ...
- Solving poisson's equation with boundary conditions - Mathematics Stack ...
- (PDF) Solving Poisson equation with Robin boundary condition on a ...
- SOLVED: Prove the uniqueness of the solution of the Poisson equation ...
- Boundary condition for the Poisson equation | Download Scientific Diagram
- Solving the 2D Poisson equation with variable boundary location ...