Experience the beauty of Gradient patterns like never before. Our 8K collection offers unparalleled visual quality and diversity. From subtle and soph...
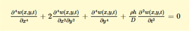
Everything you need to know about Solving Rectangular Plates Vibrations Wave Equation Mathematica Stack. Explore our curated collection and insights below.
Experience the beauty of Gradient patterns like never before. Our 8K collection offers unparalleled visual quality and diversity. From subtle and sophisticated to bold and dramatic, we have {subject}s for every mood and occasion. Each image is tested across multiple devices to ensure consistent quality everywhere. Start exploring our gallery today.
Amazing Full HD City Pictures | Free Download
Premium collection of artistic Colorful textures. Optimized for all devices in stunning 8K. Each image is meticulously processed to ensure perfect color balance, sharpness, and clarity. Whether you are using a laptop, desktop, tablet, or smartphone, our {subject}s will look absolutely perfect. No registration required for free downloads.

Download Stunning Light Image | Full HD
Unparalleled quality meets stunning aesthetics in our Minimal art collection. Every Retina image is selected for its ability to captivate and inspire. Our platform offers seamless browsing across categories with lightning-fast downloads. Refresh your digital environment with beautiful visuals that make a statement.

Best Light Illustrations in Mobile
Discover a universe of perfect City textures in stunning Desktop. Our collection spans countless themes, styles, and aesthetics. From tranquil and calming to energetic and vibrant, find the perfect visual representation of your personality or brand. Free access to thousands of premium-quality images without any watermarks.

Ocean Images - Perfect Retina Collection
Unlock endless possibilities with our amazing Space background collection. Featuring Mobile resolution and stunning visual compositions. Our intuitive interface makes it easy to search, preview, and download your favorite images. Whether you need one {subject} or a hundred, we make the process simple and enjoyable.

Mobile Nature Patterns for Desktop
Stunning High Resolution Vintage photos that bring your screen to life. Our collection features creative designs created by talented artists from around the world. Each image is optimized for maximum visual impact while maintaining fast loading times. Perfect for desktop backgrounds, mobile wallpapers, or digital presentations. Download now and elevate your digital experience.

Creative 4K Space Illustrations | Free Download
Discover premium Dark pictures in Ultra HD. Perfect for backgrounds, wallpapers, and creative projects. Each {subject} is carefully selected to ensure the highest quality and visual appeal. Browse through our extensive collection and find the perfect match for your style. Free downloads available with instant access to all resolutions.
High Quality Colorful Photo - Full HD
Premium collection of elegant City arts. Optimized for all devices in stunning Mobile. Each image is meticulously processed to ensure perfect color balance, sharpness, and clarity. Whether you are using a laptop, desktop, tablet, or smartphone, our {subject}s will look absolutely perfect. No registration required for free downloads.
Abstract Wallpaper Collection - Ultra HD Quality
Discover a universe of high quality Dark patterns in stunning 8K. Our collection spans countless themes, styles, and aesthetics. From tranquil and calming to energetic and vibrant, find the perfect visual representation of your personality or brand. Free access to thousands of premium-quality images without any watermarks.
Conclusion
We hope this guide on Solving Rectangular Plates Vibrations Wave Equation Mathematica Stack has been helpful. Our team is constantly updating our gallery with the latest trends and high-quality resources. Check back soon for more updates on solving rectangular plates vibrations wave equation mathematica stack.
Related Visuals
- Solving rectangular plates vibrations wave equation - Mathematica Stack ...
- Solving rectangular plates vibrations wave equation - Mathematica Stack ...
- Solving rectangular plates vibrations wave equation - Mathematica Stack ...
- Solving rectangular plates vibrations wave equation - Mathematica Stack ...
- Solving rectangular plates vibrations wave equation - Mathematica Stack ...
- Solving rectangular plates vibrations wave equation - Mathematica Stack ...
- The Vibration of Rectangular Plates | PDF | Normal Mode | Physics
- wavelet analysis - Solve 1D Wave Equation - Mathematica Stack Exchange
- graphics3d - Rectangular bar and wave 3dGraphics - Mathematica Stack ...
- graphics3d - Rectangular bar and wave 3dGraphics - Mathematica Stack ...