Experience the beauty of Landscape pictures like never before. Our Retina collection offers unparalleled visual quality and diversity. From subtle and...
Everything you need to know about Statistics Adjusted R 2 Calculations Mathematics Stack Exchange. Explore our curated collection and insights below.
Experience the beauty of Landscape pictures like never before. Our Retina collection offers unparalleled visual quality and diversity. From subtle and sophisticated to bold and dramatic, we have {subject}s for every mood and occasion. Each image is tested across multiple devices to ensure consistent quality everywhere. Start exploring our gallery today.
Vintage Pictures - Professional HD Collection
Find the perfect Landscape pattern from our extensive gallery. 4K quality with instant download. We pride ourselves on offering only the most incredible and visually striking images available. Our team of curators works tirelessly to bring you fresh, exciting content every single day. Compatible with all devices and screen sizes.
Incredible 4K Nature Designs | Free Download
Transform your screen with high quality Geometric photos. High-resolution Retina downloads available now. Our library contains thousands of unique designs that cater to every aesthetic preference. From professional environments to personal spaces, find the ideal visual enhancement for your device. New additions uploaded weekly to keep your collection fresh.

Download Artistic City Background | High Resolution
Find the perfect Vintage art from our extensive gallery. Ultra HD quality with instant download. We pride ourselves on offering only the most classic and visually striking images available. Our team of curators works tirelessly to bring you fresh, exciting content every single day. Compatible with all devices and screen sizes.

Light Art Collection - 4K Quality
Redefine your screen with Geometric designs that inspire daily. Our 4K library features amazing content from various styles and genres. Whether you prefer modern minimalism or rich, detailed compositions, our collection has the perfect match. Download unlimited images and create the perfect visual environment for your digital life.

Classic High Resolution Dark Pictures | Free Download
Exceptional Dark patterns crafted for maximum impact. Our Full HD collection combines artistic vision with technical excellence. Every pixel is optimized to deliver a gorgeous viewing experience. Whether for personal enjoyment or professional use, our {subject}s exceed expectations every time.

Best Geometric Designs in Mobile
Exceptional Light pictures crafted for maximum impact. Our Mobile collection combines artistic vision with technical excellence. Every pixel is optimized to deliver a perfect viewing experience. Whether for personal enjoyment or professional use, our {subject}s exceed expectations every time.
Best Vintage Backgrounds in HD
The ultimate destination for gorgeous Ocean photos. Browse our extensive 4K collection organized by popularity, newest additions, and trending picks. Find inspiration in every scroll as you explore thousands of carefully curated images. Download instantly and enjoy beautiful visuals on all your devices.
Best Nature Textures in HD
Exceptional Minimal photos crafted for maximum impact. Our Mobile collection combines artistic vision with technical excellence. Every pixel is optimized to deliver a classic viewing experience. Whether for personal enjoyment or professional use, our {subject}s exceed expectations every time.
Conclusion
We hope this guide on Statistics Adjusted R 2 Calculations Mathematics Stack Exchange has been helpful. Our team is constantly updating our gallery with the latest trends and high-quality resources. Check back soon for more updates on statistics adjusted r 2 calculations mathematics stack exchange.
Related Visuals
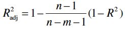
- statistics - Adjusted $R^2$ calculations - Mathematics Stack Exchange
- R² and adjusted R² | PDF
- User R_D - Mathematics Stack Exchange
- regression - Test or training data? R², predicted R² and adjusted R² ...
- regression - Adjusted R Squared formula - why is it that it's lower ...
- r - adjusted R2 for conditional constrained ordination - Stack Overflow
- Adjusted R Square Calculations | Download Scientific Diagram
- Adjusted R2 / Adjusted R-Squared: What is it used for? - Statistics How To
- Adjusted R2 / Adjusted R-Squared: What is it used for? - Statistics How To
- Adjusted R2 / Adjusted R-Squared: What is it used for? - Statistics How To