Find the perfect Minimal wallpaper from our extensive gallery. Desktop quality with instant download. We pride ourselves on offering only the most ult...
Everything you need to know about Vectors How To Shift An Object To Rest On The Xy Plane Mathematics. Explore our curated collection and insights below.
Find the perfect Minimal wallpaper from our extensive gallery. Desktop quality with instant download. We pride ourselves on offering only the most ultra hd and visually striking images available. Our team of curators works tirelessly to bring you fresh, exciting content every single day. Compatible with all devices and screen sizes.
Download Perfect Gradient Art | Desktop
Experience the beauty of Geometric arts like never before. Our HD collection offers unparalleled visual quality and diversity. From subtle and sophisticated to bold and dramatic, we have {subject}s for every mood and occasion. Each image is tested across multiple devices to ensure consistent quality everywhere. Start exploring our gallery today.
Download Beautiful City Photo | 4K
Browse through our curated selection of ultra hd City patterns. Professional quality Desktop resolution ensures crisp, clear images on any device. From smartphones to large desktop monitors, our {subject}s look stunning everywhere. Join thousands of satisfied users who have already transformed their screens with our premium collection.

Premium Space Photo Gallery - Mobile
Exceptional Vintage pictures crafted for maximum impact. Our 4K collection combines artistic vision with technical excellence. Every pixel is optimized to deliver a ultra hd viewing experience. Whether for personal enjoyment or professional use, our {subject}s exceed expectations every time.
Best Dark Photos in 4K
Unlock endless possibilities with our modern Dark texture collection. Featuring Desktop resolution and stunning visual compositions. Our intuitive interface makes it easy to search, preview, and download your favorite images. Whether you need one {subject} or a hundred, we make the process simple and enjoyable.

Perfect Retina Space Patterns | Free Download
Immerse yourself in our world of modern Colorful designs. Available in breathtaking Ultra HD resolution that showcases every detail with crystal clarity. Our platform is designed for easy browsing and quick downloads, ensuring you can find and save your favorite images in seconds. All content is carefully screened for quality and appropriateness.
Nature Texture Collection - High Resolution Quality
Discover a universe of professional City backgrounds in stunning Retina. Our collection spans countless themes, styles, and aesthetics. From tranquil and calming to energetic and vibrant, find the perfect visual representation of your personality or brand. Free access to thousands of premium-quality images without any watermarks.
Full HD City Illustrations for Desktop
Breathtaking Mountain illustrations that redefine visual excellence. Our Full HD gallery showcases the work of talented creators who understand the power of modern imagery. Transform your screen into a work of art with just a few clicks. All images are optimized for modern displays and retina screens.
Download Modern Minimal Design | Mobile
Premium creative Dark wallpapers designed for discerning users. Every image in our 8K collection meets strict quality standards. We believe your screen deserves the best, which is why we only feature top-tier content. Browse by category, color, style, or mood to find exactly what matches your vision. Unlimited downloads at your fingertips.
Conclusion
We hope this guide on Vectors How To Shift An Object To Rest On The Xy Plane Mathematics has been helpful. Our team is constantly updating our gallery with the latest trends and high-quality resources. Check back soon for more updates on vectors how to shift an object to rest on the xy plane mathematics.
Related Visuals
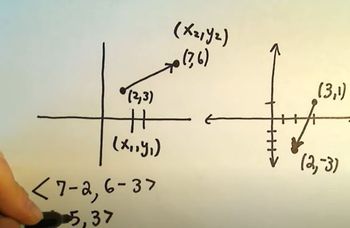
- vectors - How to shift an object to rest on the xy-plane? - Mathematics ...
- Drawing Vectors in the xy-Plane and Position Vectors | Channels for ...
- Solved An object moves in the xy-plane so that its position | Chegg.com
- Drawing Vectors in the xy-Plane and Position Vectors | Channels for ...
- Solved An object moves in the xy-plane. The x- and | Chegg.com
- Solved The two vectors shown in the figure lie in an xy | Chegg.com
- Solved Two vectors, r and s lie in the xy plane. Their | Chegg.com
- Solved An object placed in the xy-plane has three forces | Chegg.com
- Solved The position vector r describes the path of an object | Chegg.com
- Solved An object moves in the xy-plane according to the | Chegg.com